产品名称 5-氨基-1-萘酚-3-磺酸
CAS号489-78-1
分子式C10H9NO4S
分子量239.25
InChIInChI=1S/C10H9NO4S/c11-9-3-1-2-7-8(9)4-6(5-10(7)12)16(13,14)15/h1-5,12H,11H2,(H,13,14,15)
InChIKeyGGZZISOUXJHYOY-UHFFFAOYSA-N
SmilesC1=C2C(C=CC=C2N)=C(O)C=C1S(O)(=O)=O
展开 收起
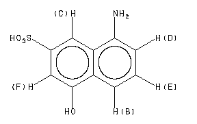
Assign. Shift(ppm) A 10.7 B 8.142 C 7.825 D 7.539 E 7.504 F 7.316
更多供应商
5-氨基-1-萘酚-3-磺酸(489-78-1)红外图谱(IR2) 相关产品图谱