图谱信息 供应商 相关产品
网站主页CAS数据库列表 489-84-9更多图谱愈创奥(489-84-9)质谱(MS)

愈创奥

产品名称 愈创奥

CAS号489-84-9

分子式C15H18

分子量198.3

展开


  • Mass

    MS-NW-7968          
    7-isopropyl-1,4-dimethylazulene
    C15H18              (Mass of molecular ion:    198)
    

       Source Temperature: 140 °C
       Sample Temperature: 110 °C
       Direct, 75 eV
    

          18.0       2.6
          27.0       1.2
          39.0       2.8
          41.0       2.6
          51.0       3.0
          63.0       2.8
          64.0       1.8
          65.0       1.0
          75.0       1.3
          76.0       4.9
          76.5       1.5
          77.0       3.1
          77.5       1.1
          82.0       3.0
          82.5       2.8
          83.0       4.8
          83.5       1.3
          84.0       2.2
          85.0       1.9
          88.0       1.0
          89.0       3.8
          89.5       1.0
          91.0       1.9
          91.5       3.6
          99.0       3.0
         115.0       5.6
         116.0       1.0
         126.0       1.0
         127.0       3.2
         128.0       7.6
         129.0       3.7
         139.0       2.9
         141.0       6.7
         142.0       4.8
         143.0       3.6
         151.0       2.2
         152.0      10.2
         153.0      15.6
         154.0       3.6
         155.0      12.0
         156.0       2.8
         157.0       1.2
         165.0      11.2
         166.0       4.7
         167.0      12.4
         168.0      16.5
         169.0       3.1
         178.0       1.6
         179.0       1.4
         181.0       3.5
         182.0       3.6
         183.0     100.0
         184.0      16.4
         185.0       2.6
         197.0       6.4
         198.0      84.9
         199.0      14.3
         200.0       1.7
    

400 MHz in CDCl3


  • 1H NMR 399.65 MHz
    C15 H18 0.031 g : 0.5 ml CDCl3
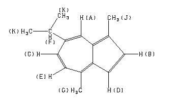
    7-isopropyl-1,4-dimethylazulene
    ChemicalStructure
        Assign.     Shift(ppm)
    A 8.196 B 7.616 C 7.402 D 7.216 E 7.001 F 3.077 G 2.820 J 2.662 K 1.357

         Hz     ppm     Int.
    

       3276.49   8.199    111
       3274.66   8.194    105
       3045.78   7.622     80
       3041.99   7.612     79
       2965.09   7.420     61
       2963.13   7.415     57
       2954.47   7.393     68
       2952.51   7.388     64
       2885.62   7.221    113
       2881.84   7.211     98
       2802.86   7.014     95
       2792.24   6.987     84
       1236.57   3.095     55
       1229.74   3.078     73
       1222.78   3.060     60
       1215.94   3.043     33
       1126.95   2.820    688
       1063.96   2.663    603
        546.02   1.367    999
        539.06   1.349   1000
    

in CDCl3



KBr disc



nujol mull