-
MS-NW-6827 4-phenylcyclohexanone C12H14O (Mass of molecular ion: 174)
Source Temperature: 270 °C Sample Temperature: 190 °C Reservoir, 75 eV
27.0 7.7 28.0 3.7 29.0 4.2 38.0 1.2 39.0 11.2 40.0 1.3 41.0 7.2 42.0 1.9 43.0 1.6 50.0 4.0 51.0 10.3 52.0 3.1 53.0 2.6 54.0 1.3 55.0 12.4 56.0 4.9 57.0 20.9 57.5 2.7 58.0 8.8 58.5 1.0 59.0 2.6 62.0 1.9 63.0 6.0 64.0 2.0 65.0 7.5 67.0 1.2 68.0 1.6 69.0 1.5 70.0 1.5 73.0 3.0 74.0 1.7 75.0 1.7 76.0 2.3 77.0 11.5 78.0 12.5 79.0 2.5 83.0 2.7 87.0 1.0 89.0 4.1 90.0 1.5 91.0 71.8 92.0 6.5 96.0 1.1 102.0 3.7 103.0 12.7 104.0 100.0 105.0 12.5 115.0 21.0 116.0 6.6 117.0 62.1 118.0 23.6 119.0 66.5 120.0 7.1 127.0 2.3 128.0 3.3 129.0 5.9 130.0 14.9 131.0 5.9 132.0 4.1 141.0 2.9 144.0 1.3 145.0 16.7 146.0 6.7 152.0 1.0 153.0 1.4 154.0 2.8 155.0 1.2 156.0 2.3 159.0 3.6 170.0 1.0 173.0 1.4 174.0 92.4 175.0 12.7 176.0 1.1
400 MHz in CDCl3
-
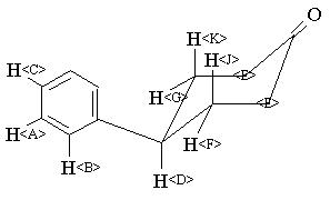
1H NMR 399.65 MHz C12 H14 O 0.042 g : 0.5 ml CDCl3 4-phenylcyclohexanone 
Assign. Shift(ppm)
A 7.319 B 7.24 C 7.23 D 3.019 E 2.51 to 2.490 F *1 2.34 G *1 2.20 J *2 1.96 K *2 1.91
Hz ppm Int.2935.06 7.345 225 2934.08 7.342 356 2932.50 7.338 169 2929.44 7.331 115 2927.73 7.326 566 2926.51 7.323 618 2925.78 7.321 529 2921.39 7.310 260 2919.43 7.305 689 2917.48 7.301 179 2899.90 7.257 491 2898.44 7.253 1000 2896.24 7.247 589 2894.29 7.243 197 2893.43 7.240 244 2892.82 7.239 262 2892.33 7.238 294 2891.60 7.236 500 2891.11 7.235 555 2890.26 7.232 604 2888.79 7.229 287 2888.06 7.227 431 2885.86 7.221 127 2882.32 7.213 124 2880.86 7.209 192 2879.52 7.206 95 1222.41 3.059 63 1219.12 3.051 117 1215.58 3.042 68 1210.33 3.029 128 1206.91 3.020 235 1203.49 3.012 124 1198.24 2.999 70 1194.82 2.990 125 1191.41 2.982 63 1023.07 2.560 66 1020.63 2.554 34 1017.46 2.546 63 1017.09 2.545 62 1011.23 2.531 86 1008.67 2.524 325 1002.56 2.509 623 1000.37 2.504 382 999.15 2.501 458 996.58 2.494 841 992.07 2.483 913 988.77 2.475 100 986.08 2.468 52 985.11 2.465 58 899.54 2.251 68 898.32 2.248 74 896.24 2.243 140 895.63 2.242 140 894.90 2.240 152 893.55 2.236 172 892.46 2.234 210 890.75 2.229 176 889.04 2.225 180 888.06 2.223 162 885.86 2.217 153 884.77 2.214 150 882.81 2.209 244 880.62 2.204 207 879.64 2.202 279 877.32 2.196 268 874.02 2.187 179 872.19 2.183 62 870.97 2.180 60 796.02 1.992 110 788.94 1.975 100 788.21 1.973 114 787.48 1.971 101 784.06 1.962 187 782.59 1.959 171 777.95 1.947 182 777.10 1.945 189 776.12 1.942 201 775.39 1.941 154 773.93 1.937 114 771.97 1.932 148 770.39 1.928 170 765.63 1.916 160 764.65 1.914 166 759.64 1.901 62 758.91 1.899 65 757.93 1.897 70 752.44 1.883 67
更多供应商






