图谱信息 供应商 相关产品
网站主页CAS数据库列表 490-46-0更多图谱表儿茶素(490-46-0)质谱(MS)

表儿茶素

产品名称 表儿茶素

CAS号490-46-0

分子式C15H14O6

分子量290.27

展开


  • Mass

    MS-NW-7454          
    (-)-epicatechin
    C15H14O6            (Mass of molecular ion:    290)
    

       Source Temperature: 200 °C
       Sample Temperature: 190 °C
       Direct, 75 eV
    

          17.0       5.0
          18.0      20.9
          27.0       3.2
          28.0       2.8
          29.0       1.8
          38.0       1.4
          39.0       6.2
          40.0       2.0
          41.0       3.1
          42.0       1.8
          43.0       4.7
          44.0       1.5
          50.0       2.0
          51.0       7.7
          52.0       3.6
          53.0       2.9
          54.0       1.0
          55.0       6.2
          63.0       2.8
          64.0       1.7
          65.0       3.5
          66.0       1.8
          67.0       2.1
          69.0      10.2
          76.0       1.2
          77.0       8.9
          78.0       2.7
          79.0       1.2
          80.0       1.6
          81.0       1.9
          84.0       1.1
          85.0       2.9
          93.0       1.3
          94.0       1.5
          95.0       2.1
          97.0       2.2
         105.0       2.2
         106.0       1.2
         107.0       3.0
         108.0       1.3
         109.0       1.0
         110.0       4.1
         111.0       2.9
         121.0       1.1
         122.0       1.8
         123.0      44.4
         124.0      17.8
         125.0       1.8
         126.0      13.1
         127.0       1.9
         136.0       4.0
         137.0       1.8
         138.0       1.8
         139.0     100.0
         140.0       8.6
         141.0       1.1
         150.0       2.3
         151.0       2.0
         152.0      43.4
         153.0       4.0
         163.0       3.2
         167.0       5.4
         168.0       1.1
         271.0       2.6
         272.0       3.9
         274.0       1.5
         290.0      24.9
         291.0       4.4
    

400 MHz in DMSO-d6


  • 1H NMR 399.65 MHz
    C15 H14 O6 0.029 g : 0.5 ml DMSO-d6
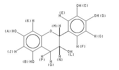
    (-)-epicatechin
    ChemicalStructure
        Assign.     Shift(ppm)
    A *1 9.05 B *1 8.84 C *1 8.74 D *1 8.66 E 6.821 F *2 6.59 G *2 6.58 J 5.821 K 5.646 L 4.66 M 4.595 N 3.928 P *3 2.604 Q *3 2.40

         Hz     ppm     Int.
    

       3616.03   9.048    971
       3531.80   8.838   1000
       3493.96   8.743    920
       3459.32   8.656    898
       2726.75   6.823    463
       2725.37   6.820    477
       2641.91   6.611    135
       2639.92   6.606     66
       2633.97   6.591    761
       2631.84   6.586    525
       2630.16   6.582    450
       2623.44   6.565     84
       2621.77   6.561     94
       2327.58   5.825    530
       2325.29   5.819    573
       2257.54   5.649    562
       2255.25   5.644    542
       1862.34   4.660    456
       1839.14   4.602    333
       1834.41   4.591    344
       1571.96   3.934    187
       1568.30   3.925    185
       1052.70   2.635    106
       1048.13   2.623    120
       1036.22   2.593    190
       1031.95   2.583    145
        955.35   2.391    142
        952.15   2.383    122
    

in DMSO-d6



KBr disc



nujol mull