图谱信息 供应商 相关产品
网站主页CAS数据库列表 490-64-2更多图谱2,4,5-三甲氧基苯甲酸(490-64-2)Raman光谱

2,4,5-三甲氧基苯甲酸

产品名称 2,4,5-三甲氧基苯甲酸

CAS号490-64-2

分子式C10H12O5

分子量212.2

展开


  • Mass

    MS-NW-7352          
    2,4,5-trimethoxybenzoic acid
    C10H12O5            (Mass of molecular ion:    212)
    

       Source Temperature: 160 °C
       Sample Temperature: 130 °C
       Direct, 75 eV
    

          15.0       1.3
          38.0       1.3
          39.0       3.0
          50.0       3.5
          51.0       4.7
          52.0       1.4
          53.0       7.4
          55.0       1.5
          59.0       5.2
          62.0       1.7
          63.0       1.7
          65.0       2.4
          66.0       3.2
          68.0       1.2
          69.0       6.8
          77.0       2.7
          78.0       1.2
          79.0       4.2
          80.0       1.0
          81.0       2.5
          82.0       1.2
          92.0       1.0
          93.0       2.7
          94.0       1.3
          95.0       4.4
          96.0       2.4
         107.0       2.3
         108.0       1.4
         109.0       7.1
         110.0       6.8
         111.0       2.1
         121.0       1.3
         122.0       1.1
         123.0       2.9
         124.0       1.8
         125.0       6.1
         126.0       1.4
         136.0       1.8
         137.0      23.5
         138.0       2.8
         139.0       3.5
         141.0       1.8
         151.0       6.0
         152.0       2.9
         153.0       2.3
         165.0       4.9
         166.0       1.7
         167.0       2.6
         169.0      20.6
         170.0       1.7
         179.0       1.1
         180.0       1.1
         181.0       2.5
         183.0       1.3
         195.0       6.2
         196.0       3.3
         197.0      65.6
         198.0       6.6
         199.0       1.0
         212.0     100.0
         213.0      11.8
         214.0       1.7
    

90 MHz in CDCl3


  • 1H NMR 89.56 MHz
    C10 H12 O5 0.040 g : 0.5 ml CDCl3
    2,4,5-trimethoxybenzoic acid
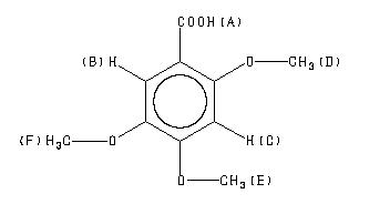
    ChemicalStructure
        Assign.     Shift(ppm)
    A 11. B 7.600 C 6.580 D 4.074 E *1 3.974 F *1 3.890

         Hz     ppm     Int.
    

        680.77   7.602    287
        589.43   6.582    209
        364.95   4.075   1000
        355.98   3.975    893
        348.55   3.892    961
        346.75   3.872     56
    

in CDCl3



KBr disc



nujol mull