-
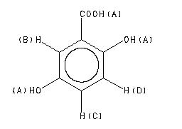
MS-NW-0197 2,5-dihydroxybenzoic acid C7H6O4 (Mass of molecular ion: 154)
Source Temperature: 200 °C Sample Temperature: 0 °C Direct, 75 eV
26.0 4.0 27.0 6.0 29.0 2.9 37.0 1.2 38.0 1.5 39.0 2.7 45.0 2.5 49.0 1.0 50.0 4.4 51.0 8.5 52.0 26.6 53.0 15.6 54.0 7.6 55.0 4.0 61.0 1.6 62.0 2.4 63.0 3.2 69.0 2.7 77.0 1.0 79.0 5.5 80.0 28.3 81.0 5.4 82.0 9.7 107.0 3.3 108.0 30.6 109.0 3.6 135.0 3.8 136.0 100.0 137.0 9.8 138.0 1.2 154.0 38.1 155.0 3.1
90 MHz in D2O
90 MHz in DMSO-d6
-
1H NMR 89.56 MHz C7 H6 O4 0.045 g : 0.5 ml D2O 2,5-dihydroxybenzoic acid 
Assign. Shift(ppm)
A 7.19 B 7.00 C 6.82 THE SOLVENT SIGNAL REMOVED.
Hz ppm Int.645.94 7.213 539 643.00 7.180 809 634.63 7.087 421 631.75 7.054 191 625.75 6.987 797 622.75 6.954 654 613.19 6.847 1000 604.31 6.748 417
-
1H NMR 89.56 MHz C7 H6 O4 0.047 g : 0.5 ml DMSO-d6 2,5-dihydroxybenzoic acid 
Assign. Shift(ppm)
A 10.6 B 7.209 C 6.988 D 6.829 HSP-04-875 : D2O
Hz ppm Int.647.62 7.232 564 647.11 7.226 598 644.71 7.199 815 644.20 7.193 743 633.61 7.075 395 630.62 7.042 208 627.80 7.010 59 624.80 6.977 851 621.81 6.943 726 618.48 6.906 64 614.29 6.859 1000 613.78 6.854 963 605.49 6.761 377 604.98 6.756 356
更多供应商







