图谱信息 供应商 相关产品
网站主页CAS数据库列表 490-91-5更多图谱百里醌(490-91-5)红外图谱(IR2)

百里醌

产品名称 百里醌

CAS号490-91-5

分子式C10H12O2

分子量164.2

展开


  • Mass

    MS-NW-1437          
    2-isopropyl-5-methyl-p-benzoquinone
    C10H12O2            (Mass of molecular ion:    164)
    

       Source Temperature: 260 °C
       Sample Temperature: 180 °C
       Reservoir, 75 eV
    

          15.0       1.7
          26.0       1.7
          27.0      15.9
          28.0       2.5
          29.0       1.6
          37.0       1.4
          38.0       5.1
          39.0      36.9
          40.0      22.9
          41.0      17.7
          42.0       2.1
          43.0       9.9
          50.0       4.8
          51.0      10.7
          52.0       7.1
          53.0      21.6
          54.0       2.2
          55.0       6.7
          62.0       1.6
          63.0       3.5
          64.0       1.1
          65.0       8.1
          66.0       5.2
          67.0      13.6
          68.0      19.1
          69.0       6.5
          74.0       1.1
          77.0      21.2
          78.0       4.5
          79.0       8.4
          80.0       3.6
          81.0       8.2
          82.0       1.3
          91.0      20.4
          92.0       2.9
          93.0      46.9
          94.0       5.1
          95.0       6.5
          96.0       8.6
         103.0       5.8
         105.0       1.6
         106.0       1.0
         107.0       6.5
         108.0      13.9
         109.0       2.7
         115.0       1.5
         117.0       4.4
         118.0       1.5
         119.0       1.9
         120.0       1.4
         121.0      49.2
         122.0       5.8
         123.0       4.1
         124.0       1.4
         131.0       2.8
         135.0       6.4
         136.0      47.9
         137.0       5.5
         145.0       2.2
         146.0       1.0
         147.0       3.1
         149.0      38.7
         150.0       4.1
         151.0       3.4
         163.0       2.9
         164.0     100.0
         165.0      11.4
         166.0       2.6
    

90 MHz in CDCl3


  • 1H NMR 89.56 MHz
    C10 H12 O2 0.038 g : 0.5 ml CDCl3
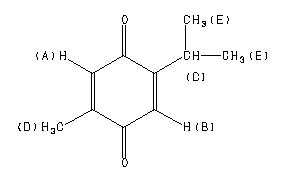
    2-isopropyl-5-methyl-p-benzoquinone
    ChemicalStructure
        Assign.     Shift(ppm)
    A 6.589 B 6.520 C 3.02 D 2.037 E 1.131

         Hz     ppm     Int.
    

        592.56   6.617     53
        590.94   6.599    167
        589.38   6.581    170
        587.75   6.563     60
        584.56   6.528    185
        583.31   6.514    188
        278.56   3.111     32
        277.38   3.098     30
        271.75   3.035     43
        270.63   3.022     41
        264.88   2.958     38
        263.63   2.944     35
        183.25   2.047    621
        181.63   2.029    626
        104.50   1.167   1000
        102.38   1.144     50
         99.81   1.115     24
         97.63   1.091    894
         95.50   1.067     48
    

in CDCl3



CCl4 solution



KBr disc



nujol mull