图谱信息 供应商 相关产品
网站主页CAS数据库列表 491-36-1更多图谱4-羟基喹唑啉(491-36-1)红外图谱(IR2)

4-羟基喹唑啉

产品名称 4-羟基喹唑啉

CAS号491-36-1

分子式C8H6N2O

分子量146.15

展开


  • Mass

    MS-NW-7943          
    4-quinazolinol
    C8H6N2O             (Mass of molecular ion:    146)
    

       Source Temperature: 170 °C
       Sample Temperature: 130 °C
       Direct, 75 eV
    

          18.0       2.1
          28.0       8.0
          37.0       2.5
          38.0       3.8
          39.0       5.2
          41.0       1.3
          50.0       5.4
          51.0       1.6
          52.0       2.3
          53.0       1.0
          59.0       4.4
          61.0       1.4
          62.0       2.6
          63.0       9.1
          64.0      10.7
          65.0       2.2
          73.0       2.7
          74.0       2.2
          75.0       1.9
          76.0       4.8
          90.0      13.2
          91.0      12.7
          92.0      12.2
         103.0       1.1
         117.0       6.7
         118.0      25.7
         119.0      17.1
         120.0       1.5
         145.0      33.3
         146.0     100.0
         147.0       9.5
    

400 MHz in DMSO-d6


  • 1H NMR 399.65 MHz
    C8 H6 N2 O 0.040 g : 0.5 ml DMSO-d6
    4-quinazolinol
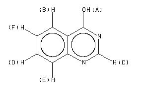
    ChemicalStructure
        Assign.     Shift(ppm)
    A 12.31 B 8.17 C 8.150 D 7.844 E 7.708 F 7.558

         Hz     ppm     Int.
    

       4918.75  12.308    101
       3273.73   8.192     48
       3270.80   8.185    423
       3270.25   8.183    444
       3269.16   8.181    483
       3268.79   8.180    461
       3262.93   8.165    475
       3262.38   8.164    522
       3261.28   8.161    561
       3260.73   8.159    537
       3257.25   8.151   1000
       3251.39   8.136     48
       3250.84   8.135     46
       3144.05   7.868    269
       3142.40   7.863    300
       3140.39   7.858     47
       3136.91   7.850    345
       3135.81   7.847    475
       3135.26   7.846    446
       3134.16   7.843    427
       3131.23   7.835     43
       3130.68   7.834     43
       3128.67   7.829    436
       3127.02   7.825    421
       3083.97   7.717    543
       3079.03   7.705     52
       3076.28   7.698    398
       3075.73   7.697    401
       3030.31   7.583     30
       3028.11   7.577    340
       3027.01   7.575    358
       3020.97   7.560    367
       3020.05   7.557    546
       3019.13   7.555    413
       3015.65   7.546     40
       3015.10   7.545     40
       3013.09   7.540    295
       3011.99   7.537    294
    

in DMSO-d6



KBr disc



nujol mull