产品名称 4-羟基喹啉-2-羧酸
CAS号492-27-3
分子式C10H7NO3
分子量189.17
InChIInChI=1S/C10H7NO3/c12-9-5-8(10(13)14)11-7-4-2-1-3-6(7)9/h1-5H,(H,11,12)(H,13,14)
InChIKeyHCZHHEIFKROPDY-UHFFFAOYSA-N
SmilesN1C2C(=CC=CC=2)C(O)=CC=1C(O)=O
展开 收起
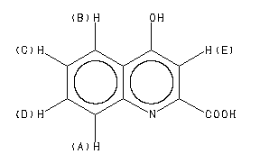
Assign. Shift(ppm) A 8.113 B 7.970 C 7.701 D 7.375 E 6.689
更多供应商
4-羟基喹啉-2-羧酸(492-27-3)红外图谱(IR1) 相关产品图谱