图谱信息 供应商 相关产品
网站主页CAS数据库列表 493-52-7更多图谱甲基红(493-52-7)核磁图(1HNMR)

甲基红

产品名称 甲基红

CAS号493-52-7

分子式C15H15N3O2

分子量269.3

展开


  • Mass

    MS-NW-0428          
    4'-(dimethylamino)azobenzene-2-carboxylic acid
    C15H15N3O2          (Mass of molecular ion:    269)
    

       Source Temperature: 160 °C
       Sample Temperature: 120 °C
       Direct, 75 eV
    

          15.0       1.0
          18.0       1.9
          28.0       1.4
          38.0       1.0
          39.0       5.3
          41.0       1.2
          42.0      17.3
          43.0       1.1
          44.0       1.7
          50.0       2.7
          51.0       4.2
          52.0       1.9
          53.0       1.0
          63.0       3.3
          64.0       2.1
          65.0       8.0
          66.0       1.9
          68.0       1.2
          69.0       1.1
          76.0       3.1
          77.0      14.9
          78.0       6.9
          79.0       9.5
          80.0       1.6
          90.0       3.0
          91.0       6.6
          92.0       4.9
          93.0       5.1
          94.0       1.3
         103.0       1.6
         104.0       8.9
         105.0      15.4
         106.0       2.4
         111.5       1.3
         118.0       4.5
         119.0       7.7
         120.0     100.0
         121.0      11.3
         122.0       1.0
         126.5       1.1
         133.0       1.6
         134.0       1.1
         134.5       1.3
         135.0       1.4
         136.0       1.6
         146.0       1.2
         148.0      26.2
         149.0       2.8
         152.0       1.8
         153.0       1.3
         169.0       1.3
         180.0       1.5
         181.0       6.0
         182.0       1.2
         184.0       1.1
         197.0       1.1
         208.0       2.4
         209.0       1.1
         210.0       2.7
         224.0       8.6
         225.0       6.5
         226.0       1.0
         238.0       1.2
         239.0       2.2
         251.0       1.1
         252.0       3.3
         253.0      15.2
         254.0       2.9
         265.0       1.2
         268.0       1.1
         269.0      53.1
         270.0       9.3
         271.0       1.0
    

400 MHz in CDCl3


  • 1H NMR 399.65 MHz
    C15 H15 N3 O2 0.034 g : 0.5 ml CDCl3
    4'-(dimethylamino)azobenzene-2-carboxylic acid
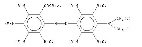
    ChemicalStructure
        Assign.     Shift(ppm)
    A 14.4 B 8.341 C 7.967 D 7.729 E 7.604 F 7.488 G 6.691 J 3.111

         Hz     ppm     Int.
    

       3338.39   8.354     41
       3337.10   8.351     42
       3330.48   8.334     44
       3329.20   8.331     44
       3188.81   7.980     41
       3187.95   7.977     43
       3180.69   7.959     47
       3179.62   7.957     47
       3093.72   7.742    122
       3091.58   7.736     35
       3086.45   7.723     38
       3084.53   7.719    126
       3040.72   7.609     36
       3039.01   7.605     40
       3032.39   7.588     31
       3030.90   7.584     30
       3000.77   7.509     32
       2999.48   7.506     34
       2992.86   7.489     42
       2992.22   7.488     39
       2991.58   7.486     38
       2678.74   6.703    118
       2676.61   6.698     34
       2671.48   6.685     34
       2669.34   6.680    113
       1243.43   3.112   1000
    

in CDCl3



KBr disk



nujol mull