-
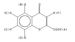
MS-IW-0751 4-oxo-4H-chromene-2-carboxylic acid C10H6O4 (Mass of molecular ion: 190)
Source Temperature: 160 °C Sample Temperature: 160 °C Direct, 75 eV
17.0 2.9 18.0 18.3 28.0 1.4 38.0 1.4 39.0 2.6 44.0 3.7 45.0 1.1 50.0 4.9 51.0 1.8 53.0 2.3 62.0 2.0 63.0 7.1 64.0 5.8 67.0 3.4 69.0 4.8 74.0 2.1 75.0 2.3 76.0 4.2 77.0 1.8 78.0 2.2 89.0 9.0 90.0 3.3 92.0 16.9 93.0 1.4 106.0 1.1 117.0 1.1 118.0 2.8 120.0 15.8 121.0 1.6 134.0 4.4 145.0 11.3 146.0 6.8 162.0 34.3 163.0 3.6 190.0 100.0 191.0 11.4 192.0 1.4 204.0 1.3
400 MHz in DMSO-d6
-
1H NMR 399.65 MHz C10 H6 O4 0.038 g : 0.5 ml DMSO-d6 4-oxo-4H-chromene-2-carboxylic acid 
Assign. Shift(ppm)
A 14. B 8.063 C 7.887 D 7.737 E 7.551 F 6.931
Hz ppm Int.3227.78 8.077 178 3226.07 8.073 197 3219.73 8.057 197 3218.26 8.053 210 3161.87 7.912 105 3160.16 7.908 104 3154.79 7.894 133 3153.32 7.891 208 3151.61 7.886 146 3146.24 7.873 160 3144.53 7.869 150 3096.44 7.748 243 3095.95 7.747 255 3087.89 7.727 202 3087.40 7.726 191 3026.12 7.572 136 3025.15 7.570 135 3018.07 7.552 232 3017.09 7.550 159 3010.99 7.535 123 3010.01 7.532 118 2770.02 6.932 1000
更多供应商






