图谱信息 供应商 相关产品
网站主页CAS数据库列表 495-40-9更多图谱苯丁酮(495-40-9)质谱(MS)

苯丁酮

产品名称 苯丁酮

CAS号495-40-9

分子式C10H12O

分子量148.2

展开





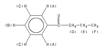
  •     Assign.     Shift(ppm)
    A 7.95 B 7.55 B 7.42 D 2.93 E 1.77 F 1.00
    Spectral Code: 1H NMR : 90 MHz in CDCl3