图谱信息 供应商 相关产品
网站主页CAS数据库列表 496-15-1更多图谱吲哚啉(496-15-1)核磁图(1HNMR)

吲哚啉

产品名称 吲哚啉

CAS号496-15-1

分子式C8H9N

分子量119.16

展开


  • Mass

    MS-NW-3360          
    indoline
    C8H9N               (Mass of molecular ion:    119)
    

       Source Temperature: 280 °C
       Sample Temperature: 180 °C
       Reservoir, 75 eV
    

          27.0       1.1
          28.0       1.5
          38.0       1.7
          39.0       5.1
          41.0       1.0
          43.0       2.6
          50.0       1.9
          51.0       3.2
          52.0       1.7
          58.0       1.3
          58.5       7.8
          59.0       3.5
          59.5       2.3
          62.0       2.0
          63.0       5.7
          64.0       2.4
          65.0       6.6
          77.0       1.2
          89.0       8.2
          90.0       7.8
          91.0      21.9
          92.0       2.3
         116.0       1.8
         117.0      22.2
         118.0     100.0
         119.0      63.8
         120.0       5.6
    

90 MHz in CDCl3


  • 1H NMR 89.56 MHz
    C8 H9 N 0.04 ml : 0.5 ml CDCl3
    indoline
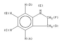
    ChemicalStructure
        Assign.     Shift(ppm)
    A 7.08 B 6.98 C 6.69 D 6.61 E 3.64 F 3.49 G 3.00

         Hz     ppm     Int.
    

        641.94   7.168     32
        640.69   7.154     80
        639.69   7.143    192
        638.63   7.131    252
        638.25   7.127    270
        637.56   7.119    245
        636.50   7.107    121
        635.56   7.097     98
        634.81   7.089    155
        634.00   7.080    178
        632.75   7.066    285
        632.06   7.058    356
        631.19   7.048    431
        630.50   7.040    372
        629.44   7.029    178
        627.94   7.012    243
        627.25   7.004    437
        626.50   6.996    355
        625.88   6.989    277
        622.69   6.953     32
        622.25   6.948     34
        621.56   6.941     31
        620.44   6.928    184
        619.81   6.921    353
        619.06   6.913    306
        618.25   6.904    272
        617.56   6.896    153
        605.13   6.757    352
        603.81   6.742    545
        601.56   6.717     30
        596.88   6.665    523
        594.56   6.639    567
        590.50   6.594    214
        589.25   6.580    198
        587.06   6.555    337
        586.63   6.551    324
        335.31   3.744     32
        325.75   3.638    134
        325.19   3.631    135
        324.81   3.627    135
        323.94   3.618    130
        322.44   3.601    524
        320.75   3.582    527
        316.63   3.536     64
        314.69   3.514    544
        313.44   3.500    678
        312.75   3.493   1000
        312.38   3.488    941
        305.63   3.413    893
        304.56   3.401    916
        274.69   3.068    485
        270.88   3.025     35
        270.56   3.021     36
        267.25   2.985    537
        266.81   2.980    540
        258.81   2.890    193
        258.38   2.885    192
    

in CDCl3



liquid film