图谱信息 供应商 相关产品
网站主页CAS数据库列表 4965-33-7更多图谱7-氯喹哪啶(4965-33-7)质谱(MS)

7-氯喹哪啶

产品名称 7-氯喹哪啶

CAS号4965-33-7

分子式C10H8ClN

分子量177.63

展开


  • Mass

    MS-IW-9006          
    7-chloro-2- methylquinoline
    C10H8ClN            (Mass of molecular ion:    177)
    

       Source Temperature: 210 °C
       Sample Temperature: 150 °C
       Reservoir, 75 eV
    

          38.0       1.1
          39.0       3.2
          50.0       3.8
          51.0       3.7
          52.0       1.0
          57.5       1.4
          61.0       1.1
          62.0       2.2
          63.0       4.1
          64.0       1.0
          68.0       1.3
          70.5       3.6
          73.0       1.3
          74.0       4.0
          75.0       6.2
          75.5       2.2
          76.0       1.9
          86.0       1.1
          87.0       1.6
          88.0       1.6
          88.5       2.6
          89.0       3.2
          98.0       1.0
          99.0       4.1
         100.0       2.2
         101.0       2.3
         102.0       1.2
         110.0       1.0
         113.0       2.5
         114.0       3.4
         115.0      15.2
         116.0       3.8
         126.0       3.0
         127.0       3.7
         135.0       1.6
         136.0       1.1
         140.0       5.8
         141.0       4.5
         142.0      15.9
         143.0       1.8
         149.0       2.1
         150.0       1.0
         151.0       1.9
         162.0       9.1
         163.0       1.1
         164.0       3.0
         176.0       3.5
         177.0     100.0
         178.0      12.4
         179.0      32.3
         180.0       3.7
         191.0       1.3
    

400 MHz in CDCl3


  • 1H NMR 399.65 MHz
    C10 H8 Cl N 0.040 g : 0.5 ml CDCl3
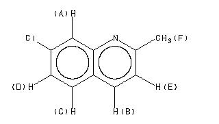
    7-chloro-2- methylquinoline
    ChemicalStructure
        Assign.     Shift(ppm)
    A 8.002 B 7.982 C 7.665 D 7.407 E 7.252 F 2.720

         Hz     ppm     Int.
    

       3199.22   8.006    147
       3197.27   8.001    156
       3194.21   7.993    141
       3185.67   7.972    131
       3067.99   7.677    143
       3059.33   7.656    169
       2965.33   7.420    110
       2963.26   7.415    110
       2956.67   7.399     95
       2954.59   7.393     93
       2902.71   7.264    188
       2894.29   7.243    180
       1087.28   2.721   1000
    

in CDCl3



KBr disc



nujol mull