图谱信息 供应商 相关产品
网站主页CAS数据库列表 497-38-1更多图谱降冰片醇(497-38-1)核磁图(1HNMR)

降冰片醇

产品名称 降冰片醇

CAS号497-38-1

分子式C7H10O

分子量110.15

展开


  • Mass

    MS-NW-6757          
    2-norbornanone
    C7H10O              (Mass of molecular ion:    110)
    

       Source Temperature: 190 °C
       Sample Temperature: 190 °C
       Reservoir, 75 eV
    

          18.0       1.2
          26.0       2.5
          27.0      13.0
          29.0       2.1
          37.0       1.2
          38.0       2.7
          39.0      24.3
          40.0       6.4
          41.0      34.7
          42.0       3.6
          43.0       2.6
          50.0       2.6
          51.0       3.7
          52.0       2.0
          53.0      10.4
          54.0      37.0
          55.0       7.6
          63.0       1.1
          65.0       3.8
          66.0     100.0
          67.0     100.0
          68.0      23.9
          69.0       2.4
          77.0       1.9
          79.0       6.0
          80.0       1.6
          81.0      18.5
          82.0       6.1
          91.0       2.1
          92.0       4.7
          93.0       1.5
          95.0       6.1
         109.0       5.7
         110.0      51.7
         111.0       4.3
    

400 MHz in CDCl3


  • 1H NMR 399.65 MHz
    C7 H10 O 0.044 g : 0.5 ml CDCl3
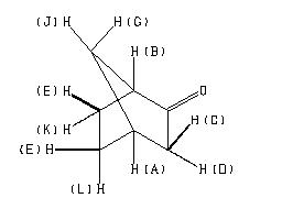
    2-norbornanone
    ChemicalStructure
        Assign.     Shift(ppm)
    A 2.67 B 2.59 C 2.053 D 1.83 E 1.82 to 1.79 G 1.73 J 1.56 K 1.52 L 1.44 ASSIGNED BY C-H COSY. J(B,C)=4.8HZ J(C,D)=-17.8HZ J(G,J)=-10.4HZ

         Hz     ppm     Int.
    

       1067.26   2.671    423
       1066.77   2.670    422
       1036.87   2.595    496
       1035.64   2.592    471
       1033.81   2.587    474
        832.64   2.084    204
        829.35   2.076    184
        827.88   2.072    180
        814.82   2.039    296
        811.52   2.031    270
        810.06   2.027    268
        744.02   1.862    574
        739.62   1.851    619
        733.64   1.836    205
        730.71   1.829    230
        729.49   1.826    273
        728.39   1.823    325
        726.07   1.817    731
        723.63   1.811    627
        722.05   1.807   1000
        719.97   1.802    551
        718.14   1.797    585
        715.45   1.791    354
        713.99   1.787    339
        711.30   1.780    207
        708.37   1.773     83
        707.03   1.770     75
        705.81   1.767    108
        704.59   1.764     73
        703.13   1.760    121
        701.54   1.756    149
        700.68   1.754    150
        698.85   1.749    338
        697.02   1.745    401
        695.19   1.740    297
        693.24   1.735    146
        690.31   1.728    162
        688.48   1.723    356
        686.65   1.719    516
        684.94   1.714    382
        682.98   1.709    172
        678.34   1.698     32
        635.38   1.590     33
        634.89   1.589     34
        631.10   1.580    244
        629.52   1.576    305
        628.05   1.572    290
        627.08   1.570    281
        625.24   1.565    302
        623.66   1.561    285
        620.97   1.554    376
        619.51   1.551    441
        617.80   1.546    358
        614.99   1.539    254
        613.53   1.536    215
        610.84   1.529    336
        608.89   1.524    430
        606.93   1.519    268
        604.86   1.514    199
        602.42   1.508    243
        600.22   1.502    200
        595.09   1.490    115
        592.77   1.484    126
        589.84   1.476     98
        583.98   1.462    213
        581.91   1.457    270
        577.88   1.446    291
        575.56   1.441    350
        569.82   1.426    121
        567.50   1.420    134
        565.31   1.415    191
        564.09   1.412    135
        563.11   1.410    126
        561.89   1.406     92
    

in CDCl3



KBr disc



nujol mull



4880 A,200 M,powder