图谱信息 供应商 相关产品
网站主页CAS数据库列表 49757-42-8更多图谱4,4',4'-三甲氧基三苯甲基氯(49757-42-8)红外图谱(IR1)

4,4',4'-三甲氧基三苯甲基氯

产品名称 4,4',4'-三甲氧基三苯甲基氯

CAS号49757-42-8

分子式C22H21ClO3

分子量368.85

展开


  • Mass

    MS-NW-6867          
    chlorotris(p-methoxyphenyl)methane
    C22H21ClO3          (Mass of molecular ion:    368)
    

       Source Temperature: 210 °C
       Sample Temperature: 150 °C
       Direct, 75 eV
    

          15.0       9.7
          18.0       3.3
          35.0       1.0
          36.0       2.6
          39.0       2.3
          50.0       5.2
          51.0       2.3
          52.0       1.7
          55.0       1.0
          62.0       1.0
          63.0       4.0
          64.0       2.1
          65.0       1.7
          74.0       1.1
          75.0       2.2
          76.0       2.4
          77.0       4.2
          78.0       1.2
          79.0       1.1
          87.0       1.7
          88.0       2.8
          89.0       3.5
          92.0       2.4
          94.0       1.1
          94.5       3.0
          95.0       1.0
         100.0       1.5
         101.0       4.9
         101.5       1.1
         102.0       1.5
         106.5       1.6
         107.0       2.9
         107.5       2.2
         108.0       3.2
         113.0       3.2
         114.0       2.1
         115.0       3.0
         116.0       1.8
         121.0       1.3
         123.0       1.5
         126.0       1.4
         127.0       1.0
         128.0       1.3
         129.0       1.3
         135.0      10.4
         136.0       1.2
         137.0       1.2
         137.5       1.4
         139.0       5.2
         140.0       2.2
         141.0       1.6
         145.0       1.1
         150.0       1.9
         151.0       3.2
         152.0       4.6
         153.0       1.5
         158.0       2.1
         163.0       1.9
         165.0       2.6
         166.0       1.0
         166.5       2.3
         167.0       1.8
         168.0       1.5
         169.0       1.2
         176.0       3.3
         177.0       2.0
         178.0       2.3
         182.0       2.7
         183.0       1.8
         187.0       1.4
         188.0       1.1
         189.0       6.6
         190.0       1.9
         195.0       2.6
         200.0       1.8
         201.0       1.8
         202.0      10.9
         203.0       9.3
         204.0       3.9
         205.0       1.5
         210.0       2.5
         211.0       3.3
         212.0       1.3
         213.0       3.2
         214.0       2.8
         215.0      13.9
         216.0       6.0
         217.0       2.1
         218.0       1.0
         225.0       5.0
         226.0       5.0
         227.0       6.9
         228.0       3.2
         229.0       1.3
         231.0       4.4
         232.0       4.7
         233.0       1.8
         242.0       1.4
         243.0       8.6
         244.0       4.3
         245.0       3.1
         246.0       2.3
         247.0       4.1
         248.0       1.0
         258.0       2.3
         259.0      11.5
         260.0       3.7
         261.0       1.0
         264.0       1.1
         274.0       1.9
         275.0       9.2
         276.0       2.0
         289.0       7.2
         290.0       3.9
         301.0       1.5
         302.0       1.5
         303.0       5.0
         304.0       1.4
         318.0      39.0
         319.0      10.2
         320.0       1.5
         331.0       1.4
         332.0       1.0
         333.0     100.0
         334.0      28.4
         335.0       4.8
         350.0       2.3
    

90 MHz in CDCl3


  • 1H NMR 89.56 MHz
    C22 H21 Cl O3 0.040 g : 0.5 ml CDCl3
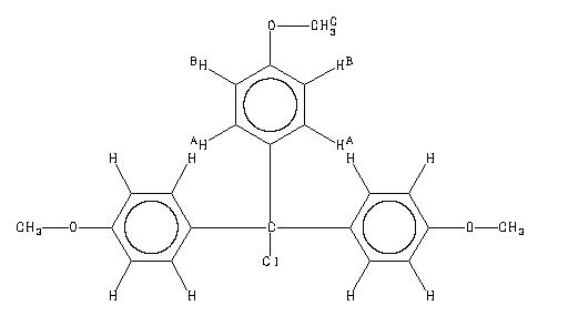
    chlorotris(p-methoxyphenyl)methane
    ChemicalStructure
        Assign.     Shift(ppm)
    A 7.279 B 6.995 C 3.912

         Hz     ppm     Int.
    

        657.94   7.347    162
        656.00   7.325     58
        651.31   7.273     73
        651.19   7.271     73
        649.06   7.248    305
        646.38   7.218     57
        632.75   7.066     40
        629.94   7.034    285
        627.81   7.010     79
        623.00   6.957     53
        620.88   6.933    152
        618.00   6.901     24
        350.44   3.913   1000
    

in CDCl3



KBr disc



nujol mull