
(1S)-(+)-3-蒈烯
产品名称
(1S)-(+)-3-蒈烯
CAS号498-15-7
分子式C10H16
分子量136.23
InChIInChI=1S/C10H16/c1-7-4-5-8-9(6-7)10(8,2)3/h4,8-9H,5-6H2,1-3H3/t8-,9+/m1/s1
InChIKeyBQOFWKZOCNGFEC-BDAKNGLRSA-N
Smiles[C@]12([H])[C@]([H])(C1(C)C)CC=C(C)C2
展开
收起
-
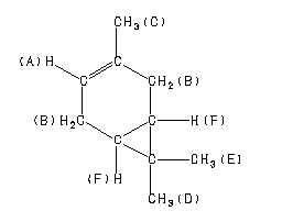
Assign. Shift(ppm)
A 5.23
B 2.62 to 1.41
C 1.60
D *1 1.022
E *1 0.761
F 0.80 to 0.47
Spectral Code: 1H NMR : 90 MHz in CDCl3
-
ppm Int. Assign.
131.30 543 1
119.56 924 2
28.42 772 3 *
24.93 1000 4
23.63 848 5
20.89 989 6
18.71 859 7
16.90 962 8 #
16.78 859 9 #
13.20 658 10 *
Spectral Code: 13C NMR : in CDCl3
-
Spectral Code: IR : liquid film
-
Spectral Code: Raman : 4880 A,200 M,liquid
(1S)-(+)-3-蒈烯(498-15-7)核磁图(1HNMR) 相关产品图谱