图谱信息 供应商 相关产品
网站主页CAS数据库列表 49800-23-9更多图谱1,2,3,4-四氢-1-萘胺盐酸盐(49800-23-9)核磁图(13CNMR)

1,2,3,4-四氢-1-萘胺盐酸盐

产品名称 1,2,3,4-四氢-1-萘胺盐酸盐

CAS号49800-23-9

分子式C10H14ClN

分子量183.68

展开


  • Mass

    MS-NW-7101          
    1,2,3,4-tetrahydro-1-naphthylamine hydrochloride
    C10H13N HCl         (Mass of molecular ion:    147)
    

       Source Temperature: 200 °C
       Sample Temperature: 120 °C
       Direct, 75 eV
    

          27.0       1.8
          28.0       4.8
          30.0       2.2
          35.0       2.4
          36.0       9.6
          38.0       3.6
          39.0       4.8
          41.0       2.0
          42.0       1.9
          43.0       1.0
          50.0       2.3
          51.0       5.5
          52.0       2.1
          53.0       1.4
          54.0       1.2
          56.0       2.6
          58.5       1.4
          59.5       2.6
          62.0       1.5
          63.0       4.1
          64.0       1.7
          65.0       4.9
          71.5       1.4
          74.0       1.3
          75.0       1.6
          76.0       1.6
          77.0       6.6
          78.0       2.6
          79.0       1.5
          89.0       4.0
          90.0       2.9
          91.0      15.7
          92.0      17.3
          93.0       1.7
         102.0       2.1
         103.0       2.8
         104.0       7.1
         105.0       1.4
         115.0      10.4
         116.0       4.4
         117.0       7.0
         118.0      26.7
         119.0      62.2
         120.0       5.9
         127.0       5.4
         128.0      10.6
         129.0      18.2
         130.0     100.0
         131.0      16.0
         132.0       2.1
         143.0       1.6
         144.0       2.6
         145.0       1.3
         146.0      28.7
         147.0       4.9
    

400 MHz in CDCl3

90 MHz in CDCl3


  • 1H NMR 399.65 MHz
    C10 H13 N 0.036 g : 0.5 ml CDCl3
    1,2,3,4-tetrahydro-1-naphthylamine hydrochloride
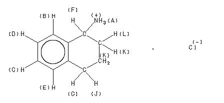
    ChemicalStructure
        Assign.     Shift(ppm)
    A 8.69 B 7.559 C 7.211 D 7.160 E 7.107 F 4.428 G *1 2.871 J *1 2.713 K 2.17 to 2.01 L 1.783

         Hz     ppm     Int.
    

       3473.14   8.691    782
       3033.57   7.591     32
       3024.54   7.568    850
       3017.58   7.551    917
       2894.04   7.242     73
       2891.60   7.236    331
       2890.38   7.233    380
       2884.28   7.218    955
       2882.93   7.214    983
       2876.95   7.199    893
       2875.49   7.196    836
       2871.70   7.186    131
       2868.41   7.178    583
       2866.94   7.174    736
       2860.84   7.159    788
       2859.38   7.155    906
       2853.39   7.140    370
       2852.05   7.137    355
       2843.99   7.117   1000
       2836.43   7.098    717
       2835.82   7.096    707
       1786.50   4.471     36
       1772.09   4.435    448
       1767.33   4.423    460
       1763.06   4.412    254
       1762.45   4.410    255
       1762.08   4.410    255
       1163.21   2.911    182
       1157.71   2.897    349
       1152.47   2.884    194
       1146.12   2.868    314
       1140.63   2.855    520
       1135.74   2.842    266
       1130.13   2.828     39
       1129.76   2.827     37
       1129.27   2.826     36
       1128.30   2.824     32
       1098.02   2.748    272
       1089.60   2.727    386
       1083.74   2.712    267
       1081.67   2.707    235
       1072.63   2.684    269
       1067.38   2.671    143
       1067.02   2.670    143
       1062.99   2.660     45
       1062.62   2.659     46
       1062.26   2.658     44
       1061.65   2.657     44
       1061.16   2.656     43
       1060.79   2.655     43
       1060.18   2.653     42
       1059.69   2.652     39
       1059.33   2.651     38
       1058.96   2.650     37
       1058.59   2.649     36
       1058.23   2.648     36
       1057.74   2.647     34
       1057.13   2.646     33
       1056.64   2.644     33
       1055.91   2.643     32
        859.01   2.150    281
        852.66   2.134    608
        848.63   2.124    587
        848.02   2.122    582
        842.65   2.109    498
        839.48   2.101    615
        834.96   2.090    441
        830.81   2.079    329
        828.74   2.074    374
        826.29   2.068    448
        823.85   2.062    433
        822.51   2.059    378
        817.63   2.046    284
        814.09   2.038    306
        810.55   2.029    233
        809.08   2.025    250
        804.32   2.013    194
        800.66   2.004    108
        799.44   2.001    105
        796.39   1.993     59
        795.53   1.991     68
        731.20   1.830     60
        730.96   1.830     60
        729.61   1.826     55
        724.85   1.814    140
        723.51   1.811    118
        719.24   1.800    392
        715.09   1.790    350
        712.77   1.784    300
        708.74   1.774    337
        702.76   1.759    233
        700.68   1.754    184
        699.34   1.750    198
        694.34   1.738     65
        693.36   1.735     75
    


  • 1H NMR 89.56 MHz
    C10 H13 N 0.035 g : 0.5 ml CDCl3
    1,2,3,4-tetrahydro-1-naphthylamine hydrochloride
    ChemicalStructure
        Assign.     Shift(ppm)
    A 8.71 B 7.56 C 7.36 to 6.98 D 4.44 E 2.80 F 2.31 to 1.47

         Hz     ppm     Int.
    

        779.81   8.708    246
        684.63   7.645     53
        683.56   7.633     79
        682.00   7.616    150
        681.63   7.611    154
        680.13   7.595    208
        678.50   7.576    126
        677.19   7.562    142
        675.75   7.546    266
        673.06   7.516    270
        668.00   7.459     62
        654.69   7.311     70
        654.31   7.306     72
        653.31   7.295     57
        652.75   7.289     57
        652.38   7.285     62
        649.50   7.253    223
        647.50   7.230    232
        643.75   7.188   1000
        640.69   7.154    690
        638.56   7.130    803
        635.69   7.098    191
        633.94   7.079    195
        631.75   7.054     64
        631.25   7.049     62
        629.94   7.034     85
        629.13   7.025     91
        399.81   4.465    144
        399.38   4.460    146
        398.56   4.451    143
        396.38   4.426    140
        396.06   4.423    144
        395.56   4.417    149
        395.13   4.412    150
        394.50   4.405    145
        393.81   4.398    140
        253.56   2.832    303
        253.19   2.828    305
        247.44   2.763    314
        187.81   2.098    530
    

in CDCl3



KBr disc



nujol mull