图谱信息 供应商 相关产品
网站主页CAS数据库列表 4991-65-5更多图谱噻克索酮(4991-65-5)红外图谱(IR2)

噻克索酮

产品名称 噻克索酮

CAS号4991-65-5

分子式C7H4O3S

分子量168.17

展开


  • Mass

    MS-IW-0861          
    6-hydroxy-1,3-benzoxathiol-2-one
    C7H4O3S             (Mass of molecular ion:    168)
    

       Source Temperature: 130 °C
       Sample Temperature: 120 °C
       Reservoir, 75 eV
    

          18.0       2.4
          28.0       1.6
          38.0       1.0
          39.0       4.1
          44.0       1.0
          45.0       3.5
          50.0       1.1
          51.0       2.2
          52.0       1.2
          53.0       1.5
          55.0       5.4
          58.0       3.1
          62.0       1.8
          67.0       1.0
          68.0       1.8
          69.0       7.8
          70.0       6.2
          71.0       2.0
          79.0       3.1
          83.0       1.3
          84.0       6.8
          85.0       3.1
          95.0       2.9
          96.0       3.0
          98.0       1.1
         111.0       2.6
         112.0      48.8
         113.0       3.3
         114.0       2.4
         123.0       1.8
         124.0      16.3
         125.0       1.2
         140.0      12.2
         168.0     100.0
         169.0       9.0
         170.0       6.1
         226.0       1.3
    

400 MHz in DMSO-d6


  • 1H NMR 399.65 MHz
    C7 H4 O3 S 0.037 g : 0.5 ml DMSO-d6
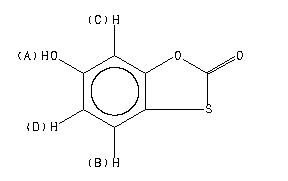
    6-hydroxy-1,3-benzoxathiol-2-one
    ChemicalStructure
        Assign.     Shift(ppm)
    A 10.1 B 7.500 C 6.882 D 6.789

         Hz     ppm     Int.
    

       4033.66  10.093    924
       3003.54   7.516    886
       3000.03   7.507     25
       2998.50   7.503     24
       2995.00   7.495    954
       2751.16   6.884    898
       2749.02   6.879   1000
       2718.96   6.804    707
       2716.52   6.798    641
       2713.47   6.790     23
       2710.27   6.782    699
       2707.98   6.776    622
    

in DMSO-d6



KBr disc



nujol mull