图谱信息 供应商 相关产品
网站主页CAS数据库列表 50-02-2更多图谱地塞米松(50-02-2)核磁图(1HNMR)

地塞米松

产品名称 地塞米松

CAS号50-02-2

分子式C22H29FO5

分子量392.47

展开


  • Mass

    MS-NW-8568          
    9alpha-fluoro-11beta,17alpha,21-trihydroxy-16alpha-methyl-1,4-pregnadiene-3,20-dione
    C22H29FO5           (Mass of molecular ion:    392)
    

       Source Temperature: 240 °C
       Sample Temperature: 180 °C
       Direct, 75 eV
    

          17.0       1.1
          18.0       5.7
          27.0       2.2
          28.0       3.9
          29.0       7.7
          30.0       5.0
          31.0       5.3
          32.0       1.4
          39.0       3.0
          41.0      10.5
          42.0       3.6
          43.0      10.4
          44.0       1.7
          45.0       1.6
          51.0       1.3
          53.0       4.3
          55.0       8.6
          57.0       2.8
          58.0       1.1
          59.0       1.6
          60.0       4.5
          65.0       3.0
          67.0       4.2
          69.0       6.6
          71.0       2.4
          73.0       3.3
          77.0       8.0
          78.0       1.9
          79.0       5.2
          81.0       4.4
          82.0       1.0
          83.0       3.6
          85.0       2.4
          87.0       1.9
          91.0      14.5
          92.0       3.6
          93.0       5.5
          94.0       1.6
          95.0       5.2
          96.0       1.6
          97.0       2.4
          99.0       1.5
         101.0       1.0
         103.0       2.1
         105.0       4.4
         106.0       1.3
         107.0       9.9
         108.0       5.6
         109.0       7.2
         110.0       1.8
         111.0       3.8
         113.0       1.6
         115.0       3.8
         116.0       1.6
         117.0       4.7
         119.0       3.3
         120.0       2.9
         121.0      49.3
         122.0     100.0
         123.0      12.8
         124.0       2.8
         125.0       3.4
         127.0       2.5
         128.0       2.3
         129.0       2.5
         131.0       3.6
         132.0       1.3
         133.0       5.7
         134.0       8.9
         135.0      15.3
         136.0       4.8
         137.0       4.1
         138.0       1.0
         139.0       6.6
         140.0       1.4
         141.0       3.0
         142.0       1.1
         143.0       1.5
         144.0       1.4
         145.0       5.0
         146.0       3.8
         147.0      14.8
         148.0       2.4
         149.0       2.3
         150.0       1.1
         151.0       1.8
         152.0       2.6
         153.0       2.5
         155.0       1.4
         157.0       2.1
         158.0       2.6
         159.0       7.6
         160.0      13.3
         161.0       6.1
         162.0       1.3
         163.0       2.3
         165.0       2.7
         166.0       1.0
         167.0       1.3
         169.0       1.4
         171.0       4.2
         172.0       1.8
         173.0       4.1
         174.0       1.5
         175.0       2.1
         177.0       1.8
         178.0       1.5
         179.0       2.6
         181.0       1.7
         183.0       1.6
         184.0       2.2
         185.0       4.0
         186.0       4.2
         187.0       5.9
         188.0       1.7
         189.0       2.6
         191.0       1.8
         193.0       1.4
         195.0       1.9
         196.0       1.0
         197.0       2.4
         198.0       1.1
         199.0       2.1
         201.0       1.0
         202.0       1.3
         203.0       1.8
         205.0       1.0
         207.0       1.2
         208.0       1.5
         209.0       2.6
         210.0       1.4
         211.0       2.9
         212.0       1.4
         213.0       4.4
         214.0       2.2
         215.0       1.2
         221.0       1.5
         222.0       1.0
         223.0       8.6
         224.0       3.6
         225.0       3.5
         226.0       1.8
         227.0       3.8
         228.0       1.3
         236.0       1.7
         237.0       3.1
         238.0       5.0
         239.0       2.8
         240.0       1.4
         241.0       2.8
         242.0       6.3
         243.0       1.9
         251.0       1.4
         253.0       3.9
         254.0       1.6
         255.0       4.7
         256.0       1.9
         267.0       1.3
         268.0       3.7
         269.0       2.0
         277.0       2.3
         278.0       1.1
         279.0       3.4
         280.0       1.0
         281.0       1.2
         282.0       1.1
         284.0       2.4
         294.0       1.2
         295.0       2.9
         296.0       1.1
         297.0       1.9
         312.0      12.2
         313.0       3.6
         314.0       1.1
         315.0       8.8
         316.0       2.0
         324.0       1.0
         325.0       1.2
         333.0       4.1
         334.0       1.1
         340.0       1.7
         342.0      14.9
         343.0       4.3
         345.0       1.5
         354.0       1.3
         356.0       1.0
         372.0       2.0
    

400 MHz in DMSO-d6

90 MHz in DMSO-d6


  • 1H NMR 399.65 MHz
    C22 H29 F O5 0.041 g : 0.5 ml DMSO-d6
    9alpha-fluoro-11beta,17alpha,21-trihydroxy-16alpha-methyl-1,4-pregnadiene-3,20-dione
    ChemicalStructure
        Assign.     Shift(ppm)
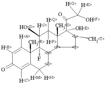
    A 7.296 B 6.227 C 6.012 D 5.30 E 4.97 F 4.70 G *1 4.496 J 4.15 K *1 4.081 L 2.95 M 2.616 N 2.35 P 2.32 Q 2.14 R 2.09 S 1.769 T 1.626 U 1.487 V 1.44 W 1.356 X 1.069 Y 0.867 Z 0.785 J(A,B)=10.1HZ. J(B,C)=1.8HZ. J(D,J)=4.1HZ. J(D,F-19)=1.5HZ. J(G,F)=J(K,F)=5.9HZ. J(G,K)=19.2HZ. J(L,Z)=7.3HZ. J(Q,V)=13.7HZ. J(P,W)=5.1HZ. J(S,N)=4.2HZ. J(F-19,N)=29.4HZ. ASSIGNED BY COSY.

         Hz     ppm     Int.
    

       2921.26   7.310    197
       2911.13   7.285    205
       2494.38   6.242    157
       2492.55   6.237    157
       2484.25   6.217    151
       2482.42   6.212    154
       2402.59   6.012    224
       2118.77   5.302    108
       2117.31   5.298    123
       2114.87   5.292    120
       2113.16   5.288    104
       1985.11   4.968    421
       1883.54   4.713     68
       1877.69   4.699    147
       1871.83   4.684     76
       1810.06   4.530     71
       1804.20   4.515     68
       1790.89   4.482     91
       1785.03   4.467     77
       1662.60   4.161     55
       1660.89   4.156     55
       1659.30   4.152     49
       1656.86   4.146     47
       1656.37   4.145     48
       1655.88   4.144     48
       1654.05   4.139     49
       1652.34   4.135     55
       1651.98   4.134     55
       1651.25   4.132     55
       1650.88   4.131     55
       1650.51   4.130     56
       1642.09   4.109     82
       1636.47   4.095     82
       1622.92   4.061     69
       1617.19   4.047     64
       1185.42   2.967     42
       1182.25   2.959     41
       1181.52   2.957     39
       1178.59   2.950     59
       1174.93   2.940     41
       1174.44   2.939     41
       1171.51   2.932     42
       1049.07   2.625     50
       1044.07   2.613     50
       1043.46   2.611     50
        936.89   2.345     77
        932.86   2.335     78
        924.19   2.313     72
        923.22   2.311     68
        922.00   2.308     64
        921.39   2.306     63
        919.92   2.302     72
        865.11   2.165     43
        862.18   2.158     60
        861.69   2.157     60
        859.74   2.152     49
        859.01   2.150     50
        858.28   2.148     51
        856.81   2.144     49
        856.45   2.144     49
        848.14   2.123     97
        844.60   2.114     88
        836.30   2.093     59
        835.82   2.092     58
        714.11   1.787     44
        713.62   1.786     45
        707.28   1.770     47
        706.91   1.769     47
        703.49   1.761     39
        701.17   1.755     49
        700.81   1.754     49
        655.64   1.641     69
        655.27   1.640     69
        643.68   1.611     68
        594.36   1.488   1000
        587.52   1.471     39
        582.40   1.458     94
        582.03   1.457     93
        568.73   1.424     82
        548.58   1.373     42
        548.10   1.372     42
        545.78   1.366     39
        544.07   1.362     43
        536.13   1.342     40
        535.77   1.341     39
        439.70   1.101     38
        439.33   1.100     38
        435.42   1.090     41
        431.52   1.080     46
        427.37   1.070     69
        423.34   1.060     44
        346.56   0.868    870
        317.14   0.794    419
        309.81   0.776    403
    


  • 1H NMR 89.56 MHz
    C22 H29 F O5 0.030 g : 0.5 ml DMSO-d6
    9alpha-fluoro-11beta,17alpha,21-trihydroxy-16alpha-methyl-1,4-pregnadiene-3,20-dione
    ChemicalStructure
        Assign.     Shift(ppm)
    A 7.289 B 6.217 C 6.01 D 5.26 E 4.93 F 4.62 G 4.54 J 4.11 K 4.06 L 2.93 M 2.64 N 2.57 to 2.290 P 2.29 to 1.980 Q 1.98 to 0.360 R 1.489 S 0.872 T 0.790

         Hz     ppm     Int.
    

        658.31   7.351    173
        648.25   7.239    210
        562.75   6.284    134
        560.75   6.262    161
        552.56   6.170    113
        550.69   6.149    150
        537.94   6.007    205
        469.50   5.243    112
        441.19   4.927    398
        421.75   4.710     41
        421.38   4.706     39
        418.56   4.674     38
        413.75   4.620    209
        397.69   4.441    107
        394.88   4.410     40
        394.56   4.406     43
        393.88   4.398     44
        391.94   4.377     73
        369.63   4.128    119
        264.00   2.948     50
        212.25   2.370    117
        185.25   2.069    124
        151.31   1.690     94
        145.25   1.622     44
        144.81   1.617     43
        144.50   1.614     42
        144.19   1.610     43
        143.75   1.606     46
        139.75   1.561     84
        139.44   1.557     84
        138.88   1.551     90
        133.19   1.488   1000
        126.19   1.409    109
        125.88   1.406    107
        122.94   1.373    127
        122.50   1.368    132
        122.13   1.364    131
        120.56   1.347    121
        119.69   1.337    107
        116.81   1.305     65
        116.44   1.301     65
        116.06   1.296     62
        115.44   1.289     60
         95.75   1.070     77
         85.13   0.951     40
         84.63   0.945     41
         78.00   0.871    808
         74.00   0.827    440
         66.81   0.746    376
    

in DMSO-d6



KBr disc



nujol mull