图谱信息 供应商 相关产品
网站主页CAS数据库列表 50-06-6更多图谱苯巴比妥(50-06-6)核磁图(1HNMR)

苯巴比妥

产品名称 苯巴比妥

CAS号50-06-6

分子式C12H12N2O3

分子量232.24

展开


  • Mass

    MS-IW-3283          
    5-ethyl-5-phenyl-2,4,6(1H,3H,5H)-pyrimidinetrione
    C12H12N2O3          (Mass of molecular ion:    232)
    

       Source Temperature: 150 °C
       Sample Temperature: 110 °C
       Direct, 75 eV
    

          27.0       1.0
          28.0       1.0
          29.0       1.1
          39.0       2.8
          50.0       1.4
          51.0       5.3
          51.5       4.1
          52.0       1.3
          57.5       2.0
          58.0       4.8
          62.0       1.0
          63.0       3.0
          65.0       1.8
          65.5       2.0
          70.0       1.3
          73.0       1.4
          76.0       1.3
          77.0       6.8
          78.0       3.6
          89.0       4.4
          90.0       2.6
          91.0       6.0
          92.0       1.0
         102.0       1.7
         103.0       7.2
         104.0       5.4
         105.0       3.6
         115.0       8.0
         116.0       2.9
         117.0      17.7
         118.0      11.7
         119.0       1.2
         131.0       1.3
         132.0       2.8
         133.0       3.9
         143.0       3.5
         144.0       3.9
         146.0      11.4
         147.0       1.5
         160.0       4.4
         161.0      14.7
         162.0       2.0
         172.0       1.0
         174.0       5.5
         175.0       1.1
         176.0       2.1
         187.0       1.3
         189.0       4.0
         203.0       2.4
         204.0     100.0
         205.0      11.8
         206.0       1.2
         215.0       1.4
         217.0       3.7
         232.0      33.0
         233.0       4.6
    

400 MHz in CDCl3


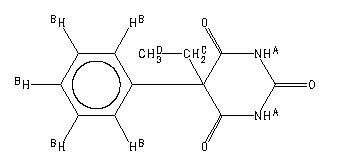
  • 1H NMR 399.65 MHz
    C12 H12 N2 O3 saturated in CDCl3
    5-ethyl-5-phenyl-2,4,6(1H,3H,5H)-pyrimidinetrione
    ChemicalStructure
        Assign.     Shift(ppm)
    A 8.79 B 7.36 C 2.488 D 0.995

         Hz     ppm     Int.
    

       3511.84   8.788     79
       2948.00   7.377     32
       2946.41   7.373    110
       2944.58   7.368    188
       2941.41   7.360   1000
       2939.33   7.355    186
       2938.35   7.353    177
       2936.16   7.347    102
       2934.45   7.343     71
       2932.74   7.339     53
       2929.93   7.332     41
       1005.62   2.517     55
        998.29   2.498    190
        991.09   2.480    196
        983.76   2.462     63
        405.15   1.014    233
        397.95   0.996    529
        390.63   0.978    226
    

in CDCl3



KBr disc



nujol mull



更多供应商