图谱信息 供应商 相关产品
网站主页CAS数据库列表 50-18-0更多图谱环磷酰胺(50-18-0)红外图谱(IR2)

环磷酰胺

产品名称 环磷酰胺

CAS号50-18-0

分子式C7H15Cl2N2O2P

分子量261.09

展开


  • Mass

    MS-NW-6932          
    cyclophosphamide
    C7H15Cl2N2O2P H2O   (Mass of molecular ion:    260)
    

       Source Temperature: 180 °C
       Sample Temperature: 110 °C
       Direct, 75 eV
    

          15.0       1.5
          18.0       1.9
          27.0       8.9
          28.0      10.1
          29.0       2.3
          30.0       6.6
          36.0       1.8
          39.0       1.3
          41.0       5.3
          42.0       7.5
          43.0       1.3
          44.0       1.6
          47.0       3.0
          49.0       1.5
          54.0       2.5
          55.0       1.5
          56.0      67.8
          57.0       4.0
          58.0       1.1
          63.0       5.3
          65.0       3.8
          69.0       1.0
          70.0       2.0
          76.0       1.0
          90.0       1.4
          92.0      25.9
          93.0       1.6
          94.0       7.8
         102.0       2.4
         104.0       1.1
         106.0       4.3
         108.0       1.2
         120.0      48.1
         121.0       4.1
         134.0       2.1
         147.0       1.6
         149.0       5.8
         154.0       1.3
         156.0       1.5
         161.0       1.1
         175.0       6.4
         181.0       1.7
         183.0       1.9
         211.0     100.0
         212.0       7.6
         213.0      32.9
         214.0       2.5
         225.0       1.6
         260.0       1.9
         262.0       1.2
    

400 MHz in CDCl3


  • 1H NMR 399.65 MHz
    C7 H15 Cl2 N2 O2 P 0.061 g : 0.5 ml CDCl3
    cyclophosphamide
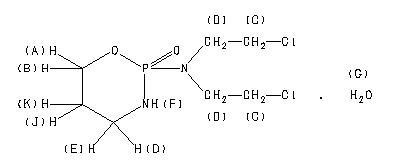
    ChemicalStructure
        Assign.     Shift(ppm)
    A *1 4.431 B *1 4.279 C 3.635 D *2 3.50 to 3.380 E *2 3.267 F 3.13 G 2.5 J *3 1.925 K *3 1.828 ASSIGNED BY H-H COSY.

         Hz     ppm     Int.
    

       1786.50   4.471     33
       1783.57   4.463     37
       1780.15   4.455     38
       1776.98   4.447     66
       1775.39   4.443     55
       1773.80   4.439     46
       1772.34   4.435     54
       1770.39   4.430     46
       1769.04   4.427     53
       1767.46   4.423     47
       1765.87   4.419     81
       1762.70   4.411     44
       1759.28   4.403     43
       1756.35   4.395     38
       1721.80   4.309     47
       1717.77   4.299     30
       1716.31   4.295     31
       1709.47   4.278     50
       1708.01   4.274     34
       1705.08   4.267     55
       1693.48   4.238     31
       1466.55   3.670     37
       1460.21   3.654    396
       1453.13   3.637   1000
       1446.29   3.619    534
       1405.40   3.517     46
       1398.93   3.501     58
       1396.97   3.496     30
       1393.80   3.488     73
       1390.63   3.480    155
       1387.21   3.472     98
       1384.03   3.464    255
       1380.98   3.456    211
       1379.03   3.451    201
       1377.20   3.447    166
       1374.02   3.439    255
       1372.44   3.435    281
       1369.02   3.426    166
       1366.58   3.420    173
       1362.06   3.409    189
       1359.13   3.401     71
       1354.74   3.390    109
       1351.81   3.383     32
       1347.05   3.371     55
       1323.36   3.312     33
       1322.27   3.309     33
       1318.85   3.301     36
       1317.87   3.298     35
       1306.88   3.271     37
       1302.61   3.260     41
       1298.83   3.250     35
       1297.85   3.248     35
       1251.34   3.132     82
       1016.11   2.543    215
        779.05   1.950     44
        778.32   1.948     42
        773.93   1.937     49
        769.41   1.926     56
        764.89   1.914     59
        764.28   1.913     58
        760.62   1.904     36
        759.77   1.902     43
        739.50   1.851     49
        737.55   1.846     48
        735.35   1.840     65
        732.67   1.834     46
        732.18   1.833     46
        731.08   1.830     50
        725.83   1.817     34
        721.07   1.805     33
    

in CDCl3



KBr disc



nujol mull



4880 A,200 M,powder