图谱信息 供应商 相关产品
网站主页CAS数据库列表 50-22-6更多图谱皮质酮(50-22-6)核磁图(13CNMR)

皮质酮

产品名称 皮质酮

CAS号50-22-6

分子式C21H30O4

分子量346.47

展开


  • Mass

    MS-IW-1385          
    corticosterone
    C21H30O4            (Mass of molecular ion:    346)
    

       Source Temperature: 200 °C
       Sample Temperature: 200 °C
       Direct, 75 eV
    

          27.0       1.5
          29.0       2.5
          31.0       2.8
          39.0       2.0
          41.0       7.0
          43.0       4.6
          53.0       2.4
          55.0       7.7
          65.0       1.6
          67.0       4.4
          69.0       2.5
          77.0       4.9
          78.0       1.2
          79.0       7.4
          80.0       1.2
          81.0       7.2
          83.0       1.7
          85.0       1.0
          91.0       9.7
          92.0       2.3
          93.0       7.2
          94.0       1.4
          95.0       7.5
          96.0       1.1
          97.0       2.9
          99.0       1.2
          99.5       1.2
         103.0       1.0
         105.0       8.0
         106.0       2.4
         107.0       8.5
         108.0       1.7
         109.0       5.2
         111.0       1.5
         113.0       1.6
         115.0       1.9
         117.0       3.4
         119.0       5.9
         120.0       2.2
         120.5       1.7
         121.0      10.4
         122.0       3.5
         123.0       6.5
         124.0       4.1
         125.0       1.4
         128.0       1.8
         129.0       3.0
         130.0       1.3
         131.0       6.1
         132.0       1.2
         133.0       8.2
         134.0       2.3
         135.0       6.9
         136.0       1.8
         137.0       3.7
         141.0       1.4
         142.0       1.1
         143.0       5.1
         144.0       1.9
         145.0      21.2
         146.0       3.7
         147.0      11.4
         148.0       2.5
         149.0       4.9
         155.0       3.1
         156.0       1.0
         157.0       4.7
         158.0       1.4
         159.0       9.1
         160.0       2.2
         161.0      15.4
         162.0       3.0
         163.0       7.0
         164.0       1.2
         169.0       2.9
         170.0       1.0
         171.0       5.1
         172.0       1.4
         173.0       9.9
         174.0       2.3
         175.0       9.6
         176.0       1.7
         177.0       1.2
         181.0       1.6
         183.0       2.4
         184.0       1.0
         185.0       3.7
         186.0       1.3
         187.0       4.0
         188.0       1.1
         189.0       3.3
         191.0       1.1
         195.0       2.8
         197.0       1.9
         199.0       4.3
         200.0       1.2
         201.0       2.8
         209.0       3.1
         211.0       4.8
         212.0       1.3
         213.0       6.2
         214.0       1.4
         215.0       1.6
         223.0       1.9
         225.0       3.1
         226.0       1.1
         227.0      21.0
         228.0       4.5
         229.0       1.8
         237.0       1.1
         239.0       1.5
         241.0       4.1
         242.0       1.6
         243.0       2.3
         251.0      13.5
         252.0       3.4
         253.0       1.7
         255.0       1.5
         267.0       2.8
         268.0       1.5
         269.0      81.1
         270.0      17.7
         271.0       3.1
         279.0       1.8
         285.0       2.6
         286.0       1.6
         287.0       3.5
         295.0       1.2
         297.0       4.3
         298.0       1.4
         299.0       1.2
         310.0       1.2
         312.0       1.4
         313.0       2.8
         315.0     100.0
         316.0      22.9
         317.0       4.6
         328.0       6.6
         329.0       1.8
         346.0       1.0
         347.0       1.4
    

400 MHz in CDCl3


  • 1H NMR 399.65 MHz
    C21 H30 O4 0.035 g : 0.5 ml CDCl3
    corticosterone
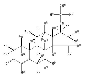
    ChemicalStructure
        Assign.     Shift(ppm)
    A 5.680 B 4.419 C *1 4.21 D *1 4.18 E 3.36 F 2.49 G 2.48 J 2.410 K 2.358 L 2.26 to 2.19 M 2.110 N 2.02 P 2.01 Q 1.85 R 1.84 to 1.72 S 1.594 T 1.448 U 1.42 V 1.15 W 1.09 X 1.000 Y 0.930 ASSIGNED BY COSY. J(B,S)=3.2HZ. J(B,M)=2.8HZ. J(B,X)=3.5HZ. J(C,D)=-18.8HZ. J(C,E)=4.3HZ. J(D,E)=3.3HZ. J(G,K)=-16.6HZ. J(G,Q)=13.6HZ. J(K,Q)=4.7HZ. J(M,S)=-13.8HZ. J(N,X)=11.0HZ. J(P,N)=4.0HZ.

         Hz     ppm     Int.
    

       2270.87   5.683    171
       2269.65   5.680    169
       1767.09   4.422     77
       1764.28   4.415     75
       1680.79   4.206     93
       1680.54   4.206     93
       1676.76   4.196    109
       1674.68   4.191    109
       1671.14   4.182     94
       1346.19   3.369     41
       1345.70   3.368     42
       1345.34   3.367     42
       1341.80   3.358     64
       1338.50   3.350     39
       1337.77   3.348     38
       1009.03   2.525     47
       1004.15   2.513     42
        999.88   2.502     45
        998.17   2.498     49
        995.12   2.490     70
        992.55   2.484     90
        990.36   2.479     53
        987.43   2.471     66
        985.96   2.468     44
        978.64   2.449     88
        973.51   2.436     78
        963.13   2.410    107
        954.22   2.388     59
        951.66   2.382     47
        947.14   2.370     88
        943.12   2.360     51
        930.54   2.329     48
        908.69   2.274     50
        906.86   2.270     60
        904.17   2.263     77
        902.22   2.258     60
        894.53   2.239     98
        892.94   2.235    119
        888.18   2.223     95
        886.11   2.218     61
        883.91   2.212     81
        881.96   2.207     54
        879.76   2.202     73
        875.37   2.191     76
        872.80   2.184     42
        870.12   2.178    110
        851.81   2.132     78
        849.00   2.125     77
        838.01   2.097     89
        835.33   2.091     84
        819.09   2.050     44
        816.89   2.045     38
        814.94   2.040     46
        812.87   2.034     66
        808.96   2.025     82
        805.42   2.016     46
        803.10   2.010     50
        799.93   2.002     98
        796.51   1.994     49
        756.35   1.893     38
        751.83   1.882     42
        742.80   1.859     74
        738.40   1.848     67
        732.91   1.834     46
        730.10   1.827     61
        723.75   1.811     91
        722.66   1.809     89
        721.68   1.806     87
        717.29   1.795     58
        715.21   1.790     84
        708.62   1.774     49
        705.44   1.766     48
        703.25   1.760     43
        699.34   1.750     77
        696.04   1.742     61
        644.90   1.614     64
        641.72   1.606     68
        631.23   1.580     59
        627.93   1.572     53
        583.98   1.462     64
        578.98   1.449   1000
        572.51   1.433     57
        565.80   1.416     44
        560.18   1.402     39
        458.13   1.147     45
        453.61   1.136     47
        451.17   1.129     40
        448.00   1.121     40
        440.55   1.103     60
        437.01   1.094     40
        436.16   1.092     41
        427.86   1.071     40
        423.34   1.060     39
        406.86   1.019     69
        403.56   1.010     66
        395.87   0.991     68
        392.58   0.983     64
        371.83   0.931    782
    

in CDCl3



KBr disc



nujol mull