-
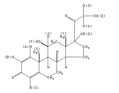
MS-NW-2368 11beta,17,21-trihydroxy-1,4-pregnadiene-3,20-dione C21H28O5 (Mass of molecular ion: 360)
Source Temperature: 260 °C Sample Temperature: 170 °C Direct, 75 eV
17.0 1.3 18.0 6.2 27.0 2.9 28.0 3.0 29.0 8.5 30.0 5.8 31.0 4.6 32.0 1.0 39.0 3.8 41.0 8.8 42.0 1.7 43.0 8.0 51.0 1.6 53.0 3.6 55.0 5.4 57.0 2.1 60.0 2.1 65.0 2.7 67.0 3.8 69.0 2.3 71.0 1.2 77.0 6.2 78.0 1.6 79.0 4.7 81.0 3.6 83.0 1.4 91.0 11.1 92.0 2.4 93.0 4.8 94.0 1.5 95.0 4.5 96.0 1.0 97.0 3.1 103.0 1.5 105.0 5.3 106.0 1.7 107.0 8.2 108.0 2.7 109.0 4.5 110.0 1.4 111.0 1.3 115.0 3.0 116.0 1.2 117.0 3.1 119.0 5.4 120.0 3.1 121.0 39.9 122.0 100.0 123.0 13.5 124.0 1.8 125.0 1.2 127.0 1.1 128.0 2.0 129.0 2.0 131.0 3.1 132.0 1.4 133.0 4.5 134.0 8.1 135.0 11.0 136.0 5.2 137.0 2.3 141.0 1.3 143.0 1.8 144.0 1.2 145.0 4.6 146.0 3.2 147.0 12.4 148.0 2.3 149.0 2.9 151.0 1.1 153.0 1.3 157.0 1.6 158.0 1.7 159.0 4.8 160.0 4.4 161.0 5.2 162.0 1.1 163.0 2.2 165.0 2.9 166.0 1.0 167.0 1.2 171.0 3.9 172.0 1.8 173.0 3.9 174.0 1.4 175.0 1.5 177.0 1.8 178.0 1.3 179.0 2.8 184.0 1.1 185.0 2.0 186.0 2.7 187.0 1.6 189.0 1.0 191.0 1.4 193.0 1.4 195.0 6.6 196.0 1.4 197.0 1.5 199.0 1.9 207.0 1.0 209.0 4.5 210.0 1.5 211.0 2.2 212.0 1.1 213.0 1.4 223.0 2.1 224.0 2.1 225.0 5.7 226.0 1.9 227.0 1.5 238.0 1.7 239.0 2.8 240.0 2.7 251.0 1.2 253.0 1.2 265.0 1.2 267.0 1.3 282.0 1.0 295.0 1.0 300.0 1.6 312.0 2.2 330.0 2.5
400 MHz in DMSO-d6
-
1H NMR 399.65 MHz C21 H28 O5 0.043 g : 0.5 ml DMSO-d6 11beta,17,21-trihydroxy-1,4-pregnadiene-3,20-dione 
Assign. Shift(ppm)
A 7.319 B 6.162 C 5.918 D 5.19 E 4.68 F 4.65 G *1 4.500 J 4.280 K *1 4.082 L 2.53 X 1.388 Y 0.773 THE SIGNAL L OVERLAPPED BY THE SOLVENT SIGNAL. PARTIALLY ASSIGNED.
Hz ppm Int.2930.54 7.333 187 2920.41 7.308 199 2468.75 6.178 150 2466.92 6.173 155 2458.74 6.153 147 2456.79 6.148 157 2365.23 5.919 210 2074.22 5.191 434 1877.20 4.698 100 1871.34 4.683 258 1865.36 4.668 127 1858.52 4.651 151 1855.59 4.644 152 1811.65 4.534 86 1805.66 4.519 86 1792.48 4.486 113 1786.62 4.471 95 1713.26 4.287 74 1710.57 4.281 95 1707.64 4.273 73 1642.94 4.111 89 1636.96 4.096 98 1623.78 4.064 84 1617.80 4.049 78 1012.70 2.534 102 921.39 2.306 57 911.25 2.281 46 814.45 2.038 92 805.42 2.016 89 804.81 2.014 89 752.20 1.883 51 748.90 1.874 57 748.54 1.873 57 738.53 1.848 68 738.28 1.848 68 735.23 1.840 59 657.35 1.645 94 656.86 1.644 94 649.41 1.625 107 625.85 1.566 78 623.78 1.561 82 612.30 1.533 69 610.11 1.527 64 570.68 1.428 61 568.36 1.423 58 567.99 1.422 58 561.52 1.406 86 554.93 1.389 1000 547.73 1.371 58 544.56 1.363 41 544.07 1.362 41 523.93 1.311 45 408.45 1.023 42 361.45 0.905 67 358.52 0.898 67 350.83 0.878 66 350.59 0.878 66 347.53 0.870 63 309.20 0.774 781
更多供应商





