图谱信息 供应商 相关产品
网站主页CAS数据库列表 50-33-9更多图谱保泰松(50-33-9)质谱(MS)

保泰松

产品名称 保泰松

CAS号50-33-9

分子式C19H20N2O2

分子量308.37

展开


  • Mass

    MS-NW-8538          
    4-butyl-1,2-diphenyl-3,5-pyrazolidinedione
    C19H20N2O2          (Mass of molecular ion:    308)
    

       Source Temperature: 200 °C
       Sample Temperature: 110 °C
       Direct, 75 eV
    

          18.0       2.2
          27.0       4.5
          28.0       1.9
          29.0       3.5
          39.0       3.7
          41.0       6.8
          42.0       2.5
          50.0       1.0
          51.0       8.1
          52.0       1.1
          55.0       9.0
          57.0       4.4
          63.0       1.5
          64.0       4.7
          65.0       3.6
          69.0       2.6
          76.0       1.2
          77.0      75.2
          78.0       5.8
          81.0       1.1
          91.0       8.1
          92.0       2.1
          93.0      13.1
          94.0       1.6
         104.0       2.5
         105.0      16.5
         106.0       1.6
         118.0       1.6
         119.0       4.8
         120.0       1.0
         125.0       3.9
         132.0       1.1
         146.0       1.6
         152.0       3.0
         153.0       2.2
         154.0       1.1
         160.0       2.0
         174.0       1.8
         182.0       3.4
         183.0     100.0
         184.0      38.3
         185.0       4.4
         211.0       1.1
         251.0       1.3
         252.0      15.1
         253.0       2.9
         265.0       2.5
         308.0      63.5
         309.0      13.9
         310.0       1.7
    

400 MHz in CDCl3

in CDCl3


  • 1H NMR 399.65 MHz
    C19 H20 N2 O2 0.040 g : 0.5 ml CDCl3
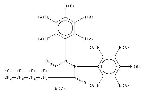
    4-butyl-1,2-diphenyl-3,5-pyrazolidinedione
    ChemicalStructure
        Assign.     Shift(ppm)
    A 7.33 to 7.300 B 7.176 C 3.389 D 2.083 E 1.487 F 1.368 G 0.900

         Hz     ppm     Int.
    

       2934.33   7.343     52
       2933.11   7.340     51
       2929.57   7.331     79
       2928.47   7.328     80
       2924.44   7.318   1000
       2920.78   7.309    558
       2919.92   7.307    511
       2913.70   7.291     31
       2910.77   7.284     33
       2910.28   7.283     33
       2874.76   7.194     69
       2871.58   7.186     80
       2871.09   7.185     79
       2869.75   7.181     78
       2867.43   7.175     69
       2866.09   7.172    107
       2864.62   7.168     48
       2862.55   7.163     68
       2861.57   7.161     52
       2860.84   7.159     45
       2857.54   7.151     35
       1360.35   3.404     56
       1354.61   3.390    119
       1348.88   3.376     56
        843.02   2.110     48
        837.28   2.096     70
        835.21   2.090     47
        831.67   2.081     45
        831.30   2.081     45
        829.59   2.076     47
        826.90   2.070     68
        821.04   2.055     51
        602.78   1.509     43
        600.22   1.502     35
        597.53   1.496     38
        594.12   1.487     57
        589.97   1.477     41
        586.79   1.469     53
        583.98   1.462     32
        556.15   1.392     57
        548.83   1.374     79
        541.26   1.355     71
        533.94   1.337     41
        366.82   0.918    183
        359.50   0.900    352
        352.29   0.882    154
    



in CDCl3



KBr disc



nujol mull