图谱信息 供应商 相关产品
网站主页CAS数据库列表 50-59-9更多图谱头孢噻啶(50-59-9)核磁图(13CNMR)

头孢噻啶

产品名称 头孢噻啶

CAS号50-59-9

分子式C19H17N3O4S2

分子量415.48

展开


  • Mass

    MS-IW-4291          
    cefaloridine
    C19H17N3O4S2        (Mass of molecular ion:    415)
    

       Source Temperature: 180 °C
       Sample Temperature: 160 °C
       Direct, 75 eV
    

          16.0       1.2
          17.0       2.0
          18.0      10.3
          26.0       4.0
          27.0       2.0
          28.0       6.3
          32.0       2.2
          33.0       1.0
          34.0       3.5
          37.0       1.1
          38.0       2.4
          39.0       7.9
          41.0       1.0
          43.0       1.0
          44.0      67.6
          45.0       4.8
          49.0       2.1
          50.0      13.0
          51.0      23.6
          52.0      73.1
          53.0      10.0
          57.0       1.1
          60.0       5.8
          69.0       1.0
          70.0       1.2
          75.0       1.9
          76.0       1.5
          78.0      12.8
          79.0     100.0
          80.0       8.0
          96.0       4.8
          97.0      23.3
          98.0       4.2
          99.0       1.6
         112.0       1.2
         122.0       1.3
         123.0       1.1
         124.0       9.1
         125.0       1.3
         139.0       1.0
         141.0       1.5
         146.0       1.0
         156.0       1.7
         181.0       1.8
         182.0       1.5
         193.0       2.1
         208.0       1.7
         225.0       1.6
         292.0       1.0
    

400 MHz in D2O


  • 1H NMR 399.65 MHz
    C19 H17 N3 O4 S2 0.041 g : 0.5 ml D2O
    cefaloridine
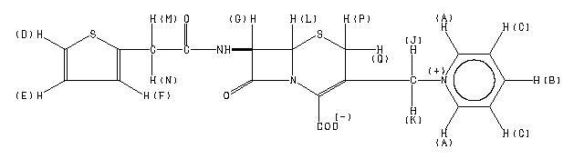
    ChemicalStructure
        Assign.     Shift(ppm)
    A 8.943 B 8.553 C 8.072 D 7.289 E 6.97 F 6.97 G 5.651 J *1 5.543 K *1 5.326 L 5.119 M *2 3.857 N *2 3.826 P *3 3.560 Q *3 3.115 ASSIGNED BY C-H COSY AND LAOCN PROGRAM. J(G,L)=4.9HZ J(J,K)=-14.6HZ J(M,N)=-15.9HZ J(P,Q)=-18.0HZ

         Hz     ppm     Int.
    

       3577.12   8.951    422
       3571.62   8.937    442
       3427.28   8.576     77
       3426.21   8.574    123
       3424.84   8.570     72
       3418.43   8.554    260
       3411.56   8.537     92
       3410.49   8.534    144
       3409.27   8.531     79
       3233.03   8.090    333
       3226.32   8.073    407
       3225.25   8.071    379
       3218.54   8.054    284
       2916.41   7.298    280
       2914.28   7.293    256
       2911.83   7.286    223
       2910.00   7.282    304
       2789.76   6.981   1000
       2787.93   6.976    337
       2785.19   6.970    427
       2781.83   6.961    127
       2260.89   5.658    348
       2256.01   5.645    361
       2223.66   5.565    219
       2209.17   5.528    284
       2134.86   5.342    267
       2120.21   5.306    199
       2048.34   5.126    549
       2043.46   5.114    503
       1554.57   3.890    114
       1538.70   3.851    540
       1531.98   3.834    532
       1516.27   3.794    118
       1432.50   3.585    217
       1414.49   3.540    249
       1253.05   3.136    274
       1235.20   3.091    230
    

in D2O



KBr disc



nujol mull