-
MS-IW-4949 2'-deoxy-5-fluorouridine C9H11FN2O5 (Mass of molecular ion: 246)
Source Temperature: 180 °C Sample Temperature: 220 °C Direct, 75 eV
15.0 1.4 17.0 1.6 18.0 8.5 19.0 3.0 26.0 1.1 27.0 7.1 28.0 33.7 29.0 7.9 30.0 1.2 31.0 11.2 32.0 2.1 33.0 1.0 38.0 1.7 39.0 7.4 40.0 2.6 41.0 8.6 42.0 7.7 43.0 17.5 44.0 17.0 45.0 25.0 46.0 1.0 47.0 3.2 51.0 1.7 52.0 1.1 53.0 4.6 54.0 2.1 55.0 6.4 56.0 1.8 57.0 12.2 58.0 7.1 59.0 8.3 60.0 30.5 61.0 1.8 68.0 4.8 69.0 10.6 70.0 7.3 71.0 12.7 72.0 2.2 73.0 29.2 74.0 2.2 81.0 13.6 82.0 2.6 84.0 1.3 85.0 6.8 86.0 2.9 87.0 51.9 88.0 7.0 97.0 10.8 98.0 12.1 99.0 16.7 100.0 2.0 112.0 1.6 113.0 1.1 114.0 8.4 115.0 1.4 116.0 2.0 117.0 80.1 118.0 4.7 126.0 1.2 130.0 100.0 131.0 13.1 132.0 1.1 154.0 2.0 157.0 3.4 158.0 1.3
400 MHz in D2O
-
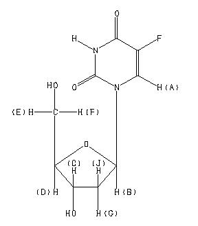
1H NMR 399.65 MHz C9 H11 F N2 O5 0.045 g : 0.5 ml D2O 2'-deoxy-5-fluorouridine 
Assign. Shift(ppm)
A 8.066 B 6.276 C 4.468 D 4.053 E *1 3.855 F *1 3.789 G *2 2.428 J *2 2.340 ASSIGNED BY C-H COSY
Hz ppm Int.3227.05 8.075 1000 3223.88 8.067 74 3220.46 8.059 993 2512.08 6.286 212 2510.74 6.283 214 2505.49 6.270 420 2504.03 6.266 403 2498.90 6.253 221 2497.44 6.250 203 1792.72 4.486 182 1788.94 4.477 358 1786.13 4.470 266 1785.16 4.467 259 1782.35 4.460 367 1778.44 4.450 191 1625.61 4.068 201 1621.95 4.059 417 1621.09 4.057 368 1617.31 4.047 448 1613.65 4.038 215 1550.78 3.881 280 1547.36 3.872 269 1538.33 3.850 616 1534.79 3.841 534 1520.87 3.806 582 1516.11 3.794 543 1508.42 3.775 290 1503.66 3.763 260 985.11 2.465 143 981.08 2.455 152 978.76 2.450 162 974.61 2.439 164 970.95 2.430 301 966.92 2.420 306 964.48 2.414 285 960.45 2.404 272 946.53 2.369 265 939.94 2.352 467 933.11 2.335 308 925.66 2.317 239 918.95 2.300 131
更多供应商






