图谱信息 供应商 相关产品
网站主页CAS数据库列表 506-33-2更多图谱13-二十二烯酸(506-33-2)红外图谱(IR1)

13-二十二烯酸

产品名称 13-二十二烯酸

CAS号506-33-2

分子式C22H42O2

分子量338.57

展开



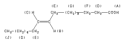
  •     Assign.     Shift(ppm)
    A 10.94 B *1 5.39 C *1 5.38 D 2.33 E 2.12 to 1.80 F 1.63 G 1.5 to 1.10 J 0.88
    Spectral Code: 1H NMR : 90 MHz in CDCl3



  •        ppm   Int.  Assign.
    180.59 443 1 130.38 870 2 34.19 322 3 32.67 791 4 31.98 409 5 29.72 965 6 29.66 978 7 8 * 29.57 1000 9 * 10 29.51 674 11 29.39 665 12 29.24 887 13 29.15 465 14 24.73 361 15 22.74 409 16 14.13 326 17
    Spectral Code: 13C NMR : in CDCl3


  • Spectral Code: IR : KBr disc