图谱信息 供应商 相关产品
网站主页CAS数据库列表 50614-84-1更多图谱吲哚-4-甲酸乙酯(50614-84-1)核磁图(1HNMR)

吲哚-4-甲酸乙酯

产品名称 吲哚-4-甲酸乙酯

CAS号50614-84-1

分子式C11H11NO2

分子量189.21


  • Mass

    MS-IW-1286          
    ethyl 4-indolecarboxylate
    C11H11NO2           (Mass of molecular ion:    189)
    

       Source Temperature: 130 °C
       Sample Temperature:  90 °C
       Direct, 75 eV
    

          27.0       1.4
          28.0       1.2
          29.0       1.4
          39.0       1.5
          58.0       1.5
          62.0       2.1
          63.0       3.6
          72.0       1.6
          88.0       1.5
          89.0       8.7
          90.0       2.0
         114.0       1.2
         115.0       3.6
         116.0      28.0
         117.0      19.2
         118.0       1.8
         143.0       1.3
         144.0      79.3
         145.0      10.8
         161.0      18.5
         162.0       1.9
         174.0       5.2
         175.0       1.1
         188.0       1.5
         189.0     100.0
         190.0      12.6
         191.0       1.1
    

400 MHz in CDCl3


  • 1H NMR 399.65 MHz
    C11 H11 N O2 0.036 g : 0.5 ml CDCl3
    ethyl 4-indolecarboxylate
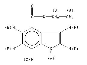
    ChemicalStructure
        Assign.     Shift(ppm)
    A 8.66 B 7.939 C 7.561 D 7.313 E 7.220 F 7.193 G 4.461 J 1.454

         Hz     ppm     Int.
    

       3177.37   7.951    199
       3176.39   7.948    207
       3169.92   7.932    210
       3168.95   7.930    209
       3026.98   7.575    110
       3026.00   7.572    197
       3025.02   7.570    110
       3018.92   7.554    129
       3017.94   7.552    225
       3016.97   7.550    124
       2925.66   7.321    121
       2922.61   7.313    165
       2920.04   7.307    133
       2893.19   7.240    143
       2885.62   7.221    201
       2877.93   7.202    184
       2877.56   7.201    185
       2876.10   7.197    134
       2875.12   7.195    191
       2874.02   7.192    112
       2872.92   7.189    106
       2871.95   7.187     98
       1793.70   4.489    159
       1786.62   4.471    480
       1779.42   4.453    518
       1772.34   4.435    168
        588.50   1.473    527
        581.42   1.455   1000
        578.86   1.449     35
        574.22   1.437    521
    

in CDCl3



KBr disc



nujol mull