图谱信息 供应商 相关产品
网站主页CAS数据库列表 50874-31-2更多图谱(-)-2-(2,4,5,7-四硝基-9-亚芴基氨氧基)丙酸(50874-31-2)核磁图(1HNMR)

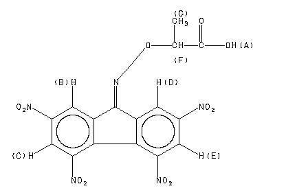
(-)-2-(2,4,5,7-四硝基-9-亚芴基氨氧基)丙酸

产品名称 (-)-2-(2,4,5,7-四硝基-9-亚芴基氨氧基)丙酸

CAS号50874-31-2

分子式C16H9N5O11

分子量447.27

展开

400 MHz in DMSO-d6


  • 1H NMR 399.65 MHz
    C16 H9 N5 O11 0.033 g : 0.5 ml DMSO-d6
    (-)-2-(2,4,5,7-tetranitro-9-fluorenylideneaminooxy)propionic acid
    ChemicalStructure
        Assign.     Shift(ppm)
    A 13.4 B *1 9.432 C *1 8.946 D *1 8.853 E *1 8.793 F 5.310 G 1.740

         Hz     ppm     Int.
    

       3770.88   9.436    555
       3768.96   9.431    603
       3576.64   8.950    603
       3574.51   8.945    611
       3539.46   8.857    538
       3537.54   8.852    637
       3515.10   8.796    616
       3513.18   8.791    555
       2132.78   5.337     79
       2125.73   5.319    327
       2118.89   5.302    341
       2111.84   5.285     86
        699.17   1.750   1000
        692.12   1.732    992
    

KBr disc



nujol mull