图谱信息 供应商 相关产品
网站主页CAS数据库列表 50996-73-1更多图谱三(4-氨基苯基)胺(50996-73-1)核磁图(1HNMR)

三(4-氨基苯基)胺

产品名称 三(4-氨基苯基)胺

CAS号50996-73-1

分子式C16H9N5O11

分子量447.27

展开


  • Mass

    MS-NW-7999          
    (+)-2-(2,4,5,7-tetranitro-9-fluorenylideneaminooxy)propionic acid
    C16H9N5O11          (Mass of molecular ion:    447)
    

       Source Temperature: 210 °C
       Sample Temperature: 210 °C
       Direct, 75 eV
    

          12.0       2.5
          13.0       2.1
          14.0       7.2
          15.0      25.5
          16.0      10.0
          17.0      15.1
          18.0      55.8
          19.0       5.8
          22.0       1.4
          25.0       1.7
          26.0       5.4
          27.0      14.2
          28.0      20.6
          29.0      33.0
          30.0      68.6
          31.0       1.7
          38.0       1.9
          39.0       3.9
          41.0       3.2
          42.0       7.3
          43.0      56.3
          44.0     100.0
          45.0      35.4
          46.0       3.0
          50.0       3.7
          51.0       3.9
          52.0       3.4
          53.0       7.1
          54.0       1.4
          55.0       7.4
          60.0       1.1
          61.0       2.7
          62.0       8.5
          63.0       9.3
          64.0       2.8
          65.0       1.3
          66.0       1.4
          67.0       2.5
          68.0       2.1
          69.0       7.4
          72.0       3.3
          73.0       4.5
          74.0      16.8
          75.0       8.5
          76.0       5.6
          77.0       2.8
          81.0       1.2
          82.0       2.5
          85.0       2.6
          86.0      21.4
          87.0      10.6
          88.0      12.3
          89.0       2.6
          90.0       1.4
          98.0      11.0
          99.0       8.8
         100.0       8.2
         101.0       2.6
         102.0       1.1
         104.0       1.3
         109.0       1.7
         110.0      14.8
         111.0       8.6
         112.0      12.1
         113.0       4.3
         114.0       1.8
         116.0       1.4
         122.0       4.3
         123.0       6.8
         124.0      10.1
         125.0       3.9
         126.0       2.2
         127.0       1.0
         128.0       1.0
         134.0       4.1
         135.0       8.0
         136.0      16.6
         137.0       7.9
         138.0       5.4
         139.0       3.0
         140.0       1.1
         142.0       1.1
         146.0       3.0
         147.0       2.9
         148.0       3.6
         149.0       2.5
         150.0       5.6
         151.0      12.9
         152.0       4.0
         153.0       1.9
         154.0       1.0
         160.0       1.6
         161.0       1.3
         162.0      19.9
         163.0      30.8
         164.0      14.8
         165.0       4.2
         166.0       1.7
         167.0       2.6
         175.0       1.2
         176.0       1.7
         177.0       1.2
         178.0       3.1
         179.0       8.8
         180.0       4.3
         181.0       2.6
         182.0       3.2
         189.0       2.0
         190.0       5.5
         191.0      41.0
         192.0      17.1
         193.0      10.2
         194.0       4.5
         195.0       9.9
         196.0       1.9
         206.0       3.9
         207.0      12.0
         208.0       3.8
         209.0       2.5
         210.0       1.7
         216.0       3.0
         221.0       6.4
         222.0       5.2
         223.0       2.9
         224.0       1.1
         225.0       1.7
         226.0       1.0
         234.0       1.9
         235.0       2.7
         236.0      10.0
         237.0       9.6
         238.0      21.2
         239.0       6.3
         240.0       1.5
         252.0       1.2
         253.0       3.9
         254.0       5.2
         255.0       5.3
         256.0       5.0
         267.0       4.1
         268.0       3.4
         280.0      12.8
         281.0       2.7
         282.0       7.3
         283.0       1.7
         284.0       2.4
         299.0       1.1
         300.0       3.2
         312.0       1.1
         313.0      89.2
         314.0      36.2
         315.0       6.2
         316.0       1.0
         326.0      17.6
         327.0       3.4
         328.0       1.0
         329.0       3.7
         330.0       1.6
         339.0       1.0
         343.0       1.4
         359.0      18.5
         360.0       9.3
         361.0       1.7
         402.0      23.9
         403.0       4.4
         404.0       1.2
         447.0       1.2
    

400 MHz in DMSO-d6


  • 1H NMR 399.65 MHz
    C16 H9 N5 O11 0.035 g : 0.5 ml DMSO-d6
    (+)-2-(2,4,5,7-tetranitro-9-fluorenylideneaminooxy)propionic acid
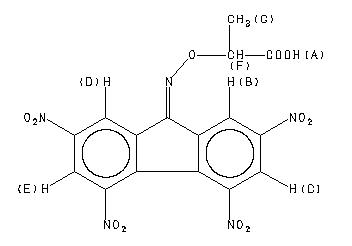
    ChemicalStructure
        Assign.     Shift(ppm)
    A 13.4 B 9.432 C 8.946 D 8.853 E 8.793 F 5.310 G 1.740

         Hz     ppm     Int.
    

       3770.88   9.436    441
       3768.96   9.431    471
       3576.64   8.950    451
       3574.51   8.945    455
       3539.46   8.857    405
       3537.54   8.852    481
       3519.59   8.807     25
       3515.10   8.796    468
       3513.18   8.791    421
       2132.78   5.337     80
       2125.94   5.320    354
       2118.89   5.302    371
       2111.84   5.285     83
        699.17   1.750   1000
        692.12   1.732    979
    

KBr disc



nujol mull