图谱信息 供应商 相关产品
网站主页CAS数据库列表 51-12-7更多图谱烟肼酰胺(51-12-7)红外图谱(IR1)

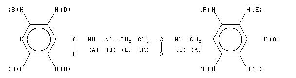
烟肼酰胺

产品名称 烟肼酰胺

CAS号51-12-7

分子式C16H18N4O2

分子量298.34

展开


  • Mass

    MS-NW-9231          
    isonicotino(2-(2-(benzylcarbamoyl)ethyl)hydrazide)
    C16H18N4O2          (Mass of molecular ion:    298)
    

       Source Temperature: 200 °C
       Sample Temperature: 180 °C
       Direct, 75 eV
    

          17.0       5.1
          18.0      26.1
          27.0       4.6
          28.0      12.4
          29.0       2.2
          30.0       5.8
          31.0       1.4
          39.0       3.3
          41.0       1.7
          42.0       2.3
          43.0       5.9
          44.0      82.8
          45.0       3.1
          50.0       4.2
          51.0      18.3
          52.0       4.3
          53.0       1.2
          55.0       9.9
          56.0       1.3
          57.0       2.8
          58.0       1.2
          59.0       3.9
          63.0       1.4
          65.0      10.1
          70.0       2.1
          77.0       6.1
          78.0      32.4
          79.0      20.6
          80.0       2.2
          84.0       2.2
          85.0       1.7
          89.0       1.7
          90.0       1.1
          91.0     100.0
          92.0      10.5
          93.0       1.1
         104.0       4.1
         105.0       5.7
         106.0      67.1
         107.0      19.5
         108.0       3.7
         117.0       6.4
         118.0       4.4
         122.0       5.5
         123.0      23.6
         124.0       2.2
         132.0       2.5
         133.0       1.0
         137.0       5.8
         148.0       4.9
         149.0      17.3
         150.0      11.8
         151.0       1.0
         160.0       2.4
         161.0       6.9
         162.0       3.5
         163.0       1.1
         176.0       2.7
         177.0      60.3
         178.0       7.3
         298.0       3.1
         299.0       1.3
    

400 MHz in DMSO-d6


  • 1H NMR 399.65 MHz
    C16 H18 N4 O2 0.036 g : 0.5 ml DMSO-d6
    isonicotino(2-(2-(benzylcarbamoyl)ethyl)hydrazide)
    ChemicalStructure
        Assign.     Shift(ppm)
    A 10.3 B 8.732 C 8.44 D 7.755 E 7.32 F 7.28 G 7.24 J 5.44 K 4.292 L 3.073 M 2.391

         Hz     ppm     Int.
    

       4145.35  10.373    203
       4139.40  10.358    218
       3497.77   8.753     82
       3492.89   8.740    793
       3491.36   8.737    562
       3488.46   8.729    537
       3486.94   8.725    818
       3377.69   8.452    137
       3375.40   8.446     99
       3371.89   8.438    254
       3365.94   8.423    136
       3102.42   7.763   1000
       3100.89   7.760    636
       3097.99   7.752    624
       3096.47   7.748    980
       2933.50   7.341    253
       2931.98   7.337    144
       2926.18   7.322    674
       2925.26   7.320    541
       2921.14   7.310    277
       2919.16   7.305    810
       2912.14   7.287    688
       2910.61   7.283    976
       2903.90   7.267    462
       2900.24   7.257    274
       2898.86   7.254    279
       2897.19   7.250    188
       2893.98   7.242    184
       2891.69   7.236    372
       2889.25   7.230    125
       2886.35   7.223    107
       2884.67   7.218    146
       2179.11   5.453    160
       1718.44   4.300    713
       1712.49   4.285    707
       1237.03   3.096    158
       1235.20   3.091    146
       1230.47   3.079    361
       1224.52   3.064    373
       1217.96   3.048    164
        962.68   2.409    381
        955.81   2.392    761
        948.79   2.375    361
    

in DMSO-d6



KBr disc



nujol mull



4880 A,200 M,powder