图谱信息 供应商 相关产品
网站主页CAS数据库列表 51-60-5更多图谱甲硫酸新斯的明(51-60-5)核磁图(1HNMR)

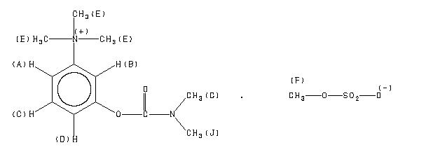
甲硫酸新斯的明

产品名称 甲硫酸新斯的明

CAS号51-60-5

分子式C12H19N2O2.CH3O4S

分子量334.39

展开

400 MHz in CDCl3


  • 1H NMR 399.65 MHz
    C13 H22 N2 O6 S 0.039 g : 0.5 ml CDCl3
    neostigmine methylsulfate
    ChemicalStructure
        Assign.     Shift(ppm)
    A 7.837 B 7.665 C 7.581 D 7.292 E 3.742 F 3.665 G *1 3.127 J *1 2.997

         Hz     ppm     Int.
    

       3137.82   7.852     30
       3135.62   7.846     31
       3135.13   7.845     31
       3129.88   7.832     34
       3129.27   7.831     34
       3127.08   7.825     38
       3065.55   7.671     48
       3063.35   7.666     67
       3060.91   7.659     47
       3038.45   7.603     43
       3030.03   7.582     80
       3021.61   7.561     43
       2919.31   7.305     39
       2918.70   7.304     43
       2917.36   7.300     40
       2916.63   7.298     39
       2911.01   7.284     35
       2910.40   7.283     35
       2909.06   7.280     37
       2908.45   7.278     33
       1495.48   3.742   1000
       1464.97   3.666    676
       1250.00   3.128    366
       1198.00   2.998    360
    

in CDCl3

in D2O





KBr disc



nujol mull