400 MHz in CDCl3
400 MHz in DMSO-d6
-
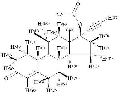
1H NMR 399.65 MHz C22 H28 O3 0.057 g : 0.5 ml CDCl3 17alpha-ethynyl-19-nortestosterone acetate 
Assign. Shift(ppm)
A 5.833 B *1 2.751 C 2.613 D 2.489 E 2.414 F 2.29 G 2.28 J 2.11 K 2.050 L *1 2.04 M 1.93 N 1.86 P 1.85 Q *2 1.77 R 1.74 S 1.57 T *2 1.37 U 1.280 V 1.123 W 0.935 X 0.935 ASSIGNED BY H-H COSY.
Hz ppm Int.2331.30 5.834 92 1100.22 2.753 34 1099.37 2.751 33 1094.36 2.739 32 1044.31 2.614 396 989.38 2.476 34 988.04 2.473 33 974.49 2.439 31 957.52 2.396 34 925.42 2.316 47 919.43 2.301 64 916.63 2.294 33 912.35 2.283 58 909.42 2.276 68 906.98 2.270 78 904.79 2.264 39 893.80 2.237 35 831.18 2.080 47 827.64 2.071 41 819.21 2.050 1000 815.67 2.041 51 812.99 2.035 34 760.38 1.903 30 747.07 1.870 56 744.87 1.864 41 742.19 1.858 46 734.25 1.838 46 732.06 1.832 39 729.25 1.825 41 705.08 1.765 49 702.88 1.759 56 701.42 1.756 49 698.61 1.749 36 635.99 1.592 37 631.10 1.580 42 630.74 1.579 42 626.34 1.568 31 622.19 1.557 51 618.53 1.548 35 561.28 1.405 34 559.94 1.402 32 555.42 1.390 48 549.44 1.375 63 546.26 1.367 31 543.33 1.360 37 537.35 1.345 38 373.78 0.936 518
-
1H NMR 399.65 MHz C22 H28 O3 0.033 g : 0.5 ml DMSO-d6 17alpha-ethynyl-19-nortestosterone acetate 
Assign. Shift(ppm)
A 5.730 B 3.534 C *1 2.549 D 2.434 E 2.27 F 2.24 to 2.16 G *1 2.00 J 1.986 K 1.852 L 1.77 M 1.75 N *2 1.66 P 1.62 Q 1.50 to 1.40 R *2 1.34 S 1.250 T 1.000 U 0.892 V 0.800 ASSIGNED BY H-H AND C-H COSY.
Hz ppm Int.2290.04 5.731 141 1412.48 3.535 489 1026.12 2.568 32 1020.87 2.555 45 1015.63 2.542 37 1010.86 2.530 35 1008.79 2.525 33 980.83 2.455 33 967.04 2.420 48 911.01 2.280 34 906.01 2.268 36 896.12 2.243 78 892.46 2.234 116 885.38 2.216 157 882.69 2.209 98 879.64 2.202 58 871.95 2.182 84 863.16 2.160 30 806.15 2.018 39 802.86 2.009 55 799.56 2.001 49 793.95 1.987 1000 746.09 1.867 31 735.35 1.840 33 732.79 1.834 33 717.04 1.795 44 715.58 1.791 43 712.65 1.784 42 704.10 1.762 71 699.95 1.752 61 690.92 1.729 32 665.04 1.665 33 659.30 1.650 34 652.47 1.633 62 652.10 1.632 61 649.17 1.625 47 639.77 1.601 33 639.28 1.600 33 590.21 1.477 33 585.69 1.466 31 582.15 1.457 39 579.47 1.450 58 573.00 1.434 58 567.99 1.422 73 564.21 1.412 74 556.76 1.394 38 554.20 1.387 39 541.99 1.357 31 508.67 1.273 30 356.93 0.894 628
更多供应商




