图谱信息 供应商 相关产品
网站主页CAS数据库列表 5135-30-8更多图谱5'-对甲苯磺酸腺苷(5135-30-8)红外图谱(IR2)

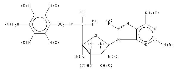
5'-对甲苯磺酸腺苷

产品名称 5'-对甲苯磺酸腺苷

CAS号5135-30-8

分子式C17H19N5O6S

分子量421.43

400 MHz in DMSO-d6


  • 1H NMR 399.65 MHz
    C17 H19 N5 O6 S 0.041 g : 0.5 ml DMSO-d6
    5'-o-tosyladenosine
    ChemicalStructure
        Assign.     Shift(ppm)
    A 8.248 B 8.110 C 7.730 D 7.36 E 7.35 F 5.896 G 5.62 J 5.46 K 4.650 L *1 4.345 M *1 4.301 N 4.241 P 4.088 Q 2.374 ASSIGNED BY H-H COSY.

         Hz     ppm     Int.
    

       3296.26   8.248    542
       3241.33   8.111    558
       3093.51   7.741    349
       3086.91   7.725    132
       3085.21   7.720    406
       2945.92   7.372    329
       2937.99   7.352    527
       2359.13   5.903    221
       2354.00   5.891    228
       2249.15   5.628    252
       2243.29   5.614    259
       2183.59   5.464    249
       2178.22   5.451    252
       1866.58   4.671     59
       1861.21   4.658    130
       1855.83   4.644    132
       1850.46   4.631     61
       1746.34   4.370     50
       1742.68   4.361     64
       1735.47   4.343    139
       1731.81   4.334    134
       1725.95   4.319    119
       1719.60   4.303    137
       1714.97   4.292     56
       1708.74   4.276     66
       1702.64   4.261     57
       1697.63   4.248    124
       1692.75   4.236    128
       1687.74   4.224     59
       1641.36   4.107     58
       1637.33   4.097     90
       1635.25   4.092     87
       1633.42   4.088     72
       1630.98   4.082     85
       1627.08   4.072     41
        948.73   2.374   1000
    

in DMSO-d6



KBr disc



nujol mull