图谱信息 供应商 相关产品
网站主页CAS数据库列表 515-30-0更多图谱DL-阿卓乳酸半水物(515-30-0)核磁图(1HNMR)

DL-阿卓乳酸半水物

产品名称 DL-阿卓乳酸半水物

CAS号515-30-0

分子式C9H10O3

分子量166.18

展开


  • Mass

    MS-NW-7445          
    2-hydroxy-2-phenylpropionic acid
    C9H10O3 1/2H2O      (Mass of molecular ion:    166)
    

       Source Temperature: 160 °C
       Sample Temperature: 150 °C
       Direct, 75 eV
    

          15.0       1.7
          18.0       1.7
          27.0       1.5
          28.0       1.4
          39.0       2.8
          43.0     100.0
          44.0       2.4
          45.0       1.4
          50.0       3.7
          51.0      10.3
          52.0       2.1
          63.0       1.4
          65.0       1.5
          74.0       1.4
          75.0       1.0
          76.0       1.4
          77.0      16.1
          78.0       4.6
          79.0       1.2
          91.0       2.3
         103.0       4.1
         104.0       3.5
         105.0       8.4
         106.0       1.3
         121.0      93.3
         122.0       7.1
         148.0       1.1
    

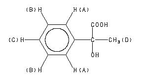
400 MHz in DMSO-d6


  • 1H NMR 399.65 MHz
    C9 H10 O3 0.038 g : 0.5 ml DMSO-d6
    2-hydroxy-2-phenylpropionic acid
    ChemicalStructure
        Assign.     Shift(ppm)
    A 7.522 B 7.333 C 7.259 D 1.626

         Hz     ppm     Int.
    

       3012.33   7.538    216
       3010.86   7.534    285
       3008.79   7.529     90
       3004.64   7.519    164
       3003.78   7.517    295
       3003.17   7.515    259
       3002.56   7.513    276
       3000.37   7.508     44
       2940.06   7.357    108
       2939.21   7.355    166
       2937.38   7.350     71
       2932.01   7.337    335
       2930.54   7.333    180
       2925.78   7.321    101
       2924.19   7.317    199
       2922.12   7.312     41
       2907.84   7.276     81
       2906.49   7.273    148
       2905.15   7.270     90
       2901.37   7.260     62
       2899.17   7.255    164
       2896.97   7.249     48
       2893.19   7.240     38
       2891.97   7.237     64
       2890.63   7.233     34
        649.78   1.626   1000
    

in DMSO-d6



KBr disc



nujol mull