图谱信息 供应商 相关产品
网站主页CAS数据库列表 515-64-0更多图谱磺胺二甲基异嘧啶(515-64-0)核磁图(1HNMR)

磺胺二甲基异嘧啶

产品名称 磺胺二甲基异嘧啶

CAS号515-64-0

分子式C12H14N4O2S

分子量278.33

展开


  • Mass

    MS-NW-9488          
    N(1)-(2,6-dimethyl-4-pyrimidinyl)sulfanilamide
    C12H14N4O2S         (Mass of molecular ion:    278)
    

       Source Temperature: 250 °C
       Sample Temperature: 150 °C
       Direct, 75 eV
    

          18.0       1.5
          28.0       2.2
          39.0       4.9
          40.0       1.6
          41.0       2.3
          42.0       6.4
          52.0       1.3
          53.0       1.0
          54.0       2.4
          63.0       1.4
          64.0       2.0
          65.0      21.8
          66.0       5.3
          67.0       1.0
          80.0       1.4
          81.0       1.1
          91.0       1.8
          92.0      31.1
          93.0       3.1
          96.0       1.8
         106.0       1.2
         107.0       5.7
         108.0      25.7
         109.0       2.1
         123.0       2.1
         132.0       1.9
         133.0       3.3
         140.0       2.3
         156.0       5.7
         157.0       1.1
         172.0       2.3
         173.0       1.5
         199.0       1.8
         213.0      62.1
         214.0     100.0
         215.0      13.9
         278.0       1.9
         279.0       1.1
    

400 MHz in DMSO-d6


  • 1H NMR 399.65 MHz
    C12 H14 N4 O2 S 0.038 g : 0.5 ml DMSO-d6
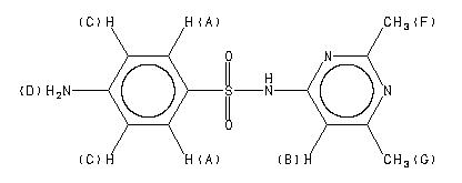
    N(1)-(2,6-dimethyl-4-pyrimidinyl)sulfanilamide
    ChemicalStructure
        Assign.     Shift(ppm)
    A 7.577 B 6.75 C 6.599 D 5.98 F *1 2.363 G *1 2.263

         Hz     ppm     Int.
    

       3032.59   7.589    269
       3023.93   7.567    290
       2695.92   6.746    103
       2644.29   6.617     51
       2641.60   6.610    354
       2639.89   6.606    125
       2634.77   6.593    117
       2632.93   6.589    348
       2630.25   6.582     56
       2390.63   5.982     78
        944.34   2.363   1000
        935.67   2.342     25
        935.18   2.340     25
        933.96   2.337     27
        904.66   2.264    934
        894.29   2.238     27
    

in DMSO-d6



KBr disc



nujol mull