-
MS-IW-2761 2-acetyl-5-chloro-3-methylbenzo(b)thiophene C11H9ClOS (Mass of molecular ion: 224)
Source Temperature: 190 °C Sample Temperature: 160 °C Reservoir, 75 eV
31.0 1.0 39.0 1.2 43.0 10.4 45.0 4.9 50.0 1.2 51.0 1.9 62.0 1.2 63.0 2.2 69.0 5.0 70.0 1.0 72.0 1.1 72.5 1.9 73.0 2.7 74.0 2.3 75.0 3.4 86.0 1.0 87.0 1.7 90.5 1.5 93.0 1.7 99.0 1.1 101.0 4.3 102.0 7.4 103.0 1.0 104.5 2.0 112.0 2.0 113.0 1.5 115.0 1.5 136.0 1.5 137.0 1.8 145.0 10.2 146.0 7.9 147.0 2.6 149.0 2.7 179.0 1.7 180.0 1.0 181.0 21.2 182.0 2.7 183.0 7.7 209.0 100.0 210.0 12.0 211.0 36.7 212.0 4.4 213.0 1.7 224.0 49.2 225.0 6.6 226.0 18.5 227.0 2.4
400 MHz in DMSO-d6
-
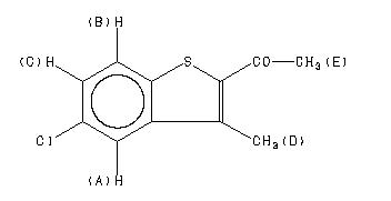
1H NMR 399.65 MHz C11 H9 Cl O S 0.039 g : 0.5 ml DMSO-d6 2-acetyl-5-chloro-3-methylbenzo(b)thiophene 
Assign. Shift(ppm)
A 8.04 B 8.03 C 7.544 D 2.667 E 2.627
Hz ppm Int.3213.75 8.042 154 3211.30 8.036 227 3202.64 8.014 157 3202.15 8.013 158 3020.51 7.558 106 3018.43 7.553 104 3011.84 7.537 100 3009.77 7.532 99 1066.04 2.668 890 1052.98 2.635 43 1050.17 2.628 1000
更多供应商





