图谱信息 供应商 相关产品
网站主页CAS数据库列表 5156-22-9更多图谱H-LEU-TRP-OH(5156-22-9)核磁图(13CNMR)

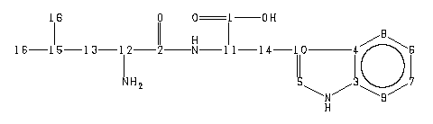
H-LEU-TRP-OH

产品名称 H-LEU-TRP-OH

CAS号5156-22-9

分子式C17H23N3O3

分子量317.38

展开



  •        ppm   Int.  Assign.
    178.59 522 1 170.10 587 2 136.95 523 3 127.90 588 4 124.98 553 5 122.64 698 6 * 120.04 683 7 * 119.41 754 8 * 112.69 729 9 111.21 719 10 57.01 710 11 52.81 859 12 40.40 784 13 27.99 737 14 24.49 1000 15 22.40 980 16 21.74 948 16
    Spectral Code: 13C NMR : in D2O

H-LEU-TRP-OH(5156-22-9)核磁图(13CNMR) 相关产品图谱