图谱信息 供应商 相关产品
网站主页CAS数据库列表 51605-32-4更多图谱4-甲基-5-咪唑甲酸乙酯(51605-32-4)核磁图(1HNMR)

4-甲基-5-咪唑甲酸乙酯

产品名称 4-甲基-5-咪唑甲酸乙酯

CAS号51605-32-4

分子式C7H10N2O2

分子量154.17

展开


  • Mass

    MS-NW-8235          
    ethyl 4-methyl-5-imidazolecarboxylate
    C7H10N2O2           (Mass of molecular ion:    154)
    

       Source Temperature: 180 °C
       Sample Temperature: 110 °C
       Direct, 75 eV
    

          15.0       1.2
          18.0       1.9
          26.0       3.9
          27.0      16.3
          28.0      25.3
          29.0      12.3
          39.0       2.2
          40.0       4.1
          41.0       1.3
          42.0       7.1
          43.0       1.8
          45.0       1.8
          51.0       1.3
          52.0      10.2
          53.0      13.2
          54.0      16.3
          55.0       2.6
          67.0      11.6
          68.0       8.9
          71.0       1.3
          79.0       2.6
          80.0      24.5
          81.0      20.9
          82.0      11.2
          83.0       2.3
          99.0       3.5
         107.0      24.5
         108.0      79.2
         109.0      90.2
         110.0      16.4
         111.0       1.2
         125.0      55.5
         126.0      32.5
         127.0       2.3
         154.0     100.0
         155.0       9.4
    

90 MHz in DMSO-d6


  • 1H NMR 89.56 MHz
    C7 H10 N2 O2 0.035 g : 0.5 ml DMSO-d6
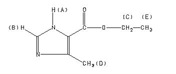
    ethyl 4-methyl-5-imidazolecarboxylate
    ChemicalStructure
        Assign.     Shift(ppm)
    A 12.5 B 7.620 C 4.218 D 2.413 E 1.278 J(C,E)=7.1HZ

         Hz     ppm     Int.
    

        682.57   7.622    269
        388.71   4.341     76
        381.62   4.262    230
        374.52   4.182    241
        367.43   4.103     88
        228.58   2.553    134
        226.95   2.535    222
        223.45   2.495    209
        221.66   2.475    120
        220.12   2.458     75
        216.19   2.414   1000
        211.06   2.357     40
        209.95   2.345     35
        121.42   1.356    253
        114.33   1.277    499
        107.15   1.197    226
    

in DMSO-d6



KBr disc



nujol mull