图谱信息 供应商 相关产品
网站主页CAS数据库列表 5192-03-0更多图谱5-氨基吲哚(5192-03-0)红外图谱(IR1)

5-氨基吲哚

产品名称 5-氨基吲哚

CAS号5192-03-0

分子式C8H8N2

分子量132.16

展开


  • Mass

    MS2014-05014CW      
    5-aminoindole
    C8H8N2              (Mass of molecular ion:    132)
    

       Source Temperature: 250 °C
       Sample Temperature: 200 °C
       Reservoir, 70 eV
    

          28.0       1.9
          50.0       1.8
          51.0       3.7
          52.0       3.5
          53.0       1.5
          63.0       1.3
          65.0       1.6
          66.0       6.0
          75.0       1.2
          76.0       2.9
          77.0       7.3
          78.0       6.2
          79.0       3.1
          80.0       1.8
         102.0       1.3
         103.0       1.7
         104.0      24.9
         105.0      13.6
         106.0       1.6
         115.0       1.3
         129.0       1.1
         131.0      33.3
         132.0     100.0
         133.0       9.2
    

400 MHz in DMSO-d6


  • 1H NMR 399.65 MHz
    C8 H8 N2 0.039 g : 0.5 ml DMSO-d6
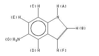
    5-aminoindole
    ChemicalStructure
        Assign.     Shift(ppm)
    A 10.6 B 7.111 C 7.085 D 6.694 E 6.496 F 6.131 G 4.40

         Hz     ppm     Int.
    

       4221.19  10.563    222
       2844.70   7.118    430
       2841.95   7.112    697
       2839.20   7.105    444
       2835.85   7.096    558
       2831.73   7.086     42
       2827.45   7.075    589
       2676.39   6.697    641
       2674.26   6.692    639
       2601.47   6.510    438
       2599.33   6.505    407
       2592.93   6.489    412
       2590.79   6.483    389
       2453.31   6.139    327
       2452.55   6.137    366
       2450.56   6.132    560
       2448.43   6.127    350
       2447.66   6.125    298
       1757.81   4.399   1000
    

in DMSO-d6



KBr disc



nujol mull