图谱信息 供应商 相关产品
网站主页CAS数据库列表 52-21-1更多图谱醋酸泼尼松龙(52-21-1)红外图谱(IR2)

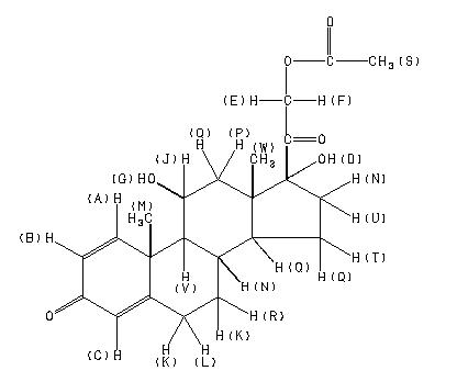
醋酸泼尼松龙

产品名称 醋酸泼尼松龙

CAS号52-21-1

分子式C23H30O6

分子量402.49

展开


  • Mass

    MS-IW-3586          
    21-acetoxy-11beta,17alpha-dihydroxy-1,4-pregnadiene-3,20-dione
    C23H30O6            (Mass of molecular ion:    402)
    

       Source Temperature: 170 °C
       Sample Temperature: 190 °C
       Direct, 75 eV
    

          15.0       1.3
          17.0       1.2
          18.0       5.5
          27.0       1.4
          28.0       2.4
          29.0       4.3
          30.0       2.4
          31.0       1.3
          39.0       2.0
          41.0       8.4
          42.0       1.4
          43.0      46.4
          44.0       1.4
          45.0       1.7
          53.0       3.5
          55.0       9.0
          57.0       2.5
          60.0       1.4
          65.0       3.3
          67.0       5.1
          68.0       1.4
          69.0       4.5
          70.0       1.6
          71.0       1.9
          73.0       1.2
          77.0       9.4
          78.0       2.0
          79.0       7.2
          80.0       1.2
          81.0       5.7
          82.0       1.1
          83.0       2.5
          87.0       1.6
          91.0      18.0
          92.0       3.6
          93.0       8.3
          94.0       2.5
          95.0       7.2
          96.0       1.3
          97.0       2.9
          99.0       1.5
         101.0       1.0
         103.0       3.0
         104.0       1.1
         105.0      10.1
         106.0       4.1
         107.0      12.9
         108.0       4.1
         109.0       7.5
         110.0       1.8
         111.0       2.7
         115.0       4.9
         116.0       2.2
         117.0       5.9
         118.0       1.8
         119.0      13.7
         120.0       6.4
         121.0      79.7
         122.0     100.0
         123.0      15.1
         124.0       3.3
         125.0       1.5
         127.0       2.0
         128.0       3.7
         129.0       4.6
         130.0       1.9
         131.0       6.8
         132.0       2.9
         133.0       9.8
         134.0      14.5
         135.0      20.5
         136.0       7.5
         137.0       3.7
         138.0       1.2
         139.0       1.5
         141.0       2.8
         142.0       1.6
         143.0       4.3
         144.0       3.1
         145.0       9.7
         146.0       9.2
         147.0      35.6
         148.0       5.7
         149.0       5.6
         150.0       1.8
         151.0       2.0
         152.0       1.3
         153.0       1.8
         155.0       2.0
         156.0       1.0
         157.0       6.0
         158.0       3.4
         159.0      12.4
         160.0       7.1
         161.0      14.2
         162.0       3.4
         163.0       5.2
         164.0       1.2
         165.0       2.8
         166.0       1.2
         167.0       1.7
         169.0       1.7
         170.0       1.2
         171.0       9.4
         172.0       5.1
         173.0      10.4
         174.0       3.5
         175.0       8.5
         176.0       1.7
         177.0       7.9
         178.0       2.8
         179.0       3.7
         180.0       1.0
         181.0       1.6
         182.0       1.0
         183.0       2.1
         184.0       1.8
         185.0       5.0
         186.0       4.3
         187.0       3.6
         188.0       1.8
         189.0       5.7
         190.0       2.7
         191.0       3.6
         192.0       1.1
         193.0       2.4
         194.0       1.0
         195.0       5.7
         196.0       1.7
         197.0       3.6
         198.0       1.7
         199.0       3.3
         200.0       1.3
         201.0       1.4
         202.0       1.0
         203.0       4.0
         207.0       2.9
         208.0       1.3
         209.0       3.8
         210.0       2.1
         211.0       4.4
         212.0       2.5
         213.0       3.5
         214.0       1.3
         215.0       1.2
         221.0       3.0
         222.0       1.7
         223.0       7.0
         224.0       3.3
         225.0      11.0
         226.0       4.3
         227.0       6.3
         228.0       2.7
         229.0       1.7
         235.0       2.0
         236.0       1.3
         237.0       4.8
         238.0       8.8
         239.0       6.8
         240.0       5.7
         241.0       2.9
         242.0       1.3
         243.0       1.8
         244.0       1.5
         249.0       1.9
         250.0       2.0
         251.0       6.4
         252.0       1.8
         253.0       4.8
         254.0       2.1
         255.0       5.2
         256.0       3.0
         257.0       2.0
         261.0       1.0
         263.0       4.7
         264.0       1.4
         265.0       5.5
         266.0       2.5
         267.0       2.8
         268.0       1.5
         269.0       1.7
         271.0       1.0
         276.0       1.2
         277.0       1.1
         278.0       1.3
         279.0       1.7
         280.0       1.0
         281.0       6.2
         282.0       2.0
         283.0       6.3
         284.0       2.3
         285.0       1.0
         286.0       1.0
         294.0       2.3
         295.0       1.8
         296.0       3.2
         297.0       1.6
         299.0       1.8
         300.0       1.1
         301.0       2.3
         302.0       1.5
         306.0       1.2
         309.0       1.4
         311.0       1.1
         312.0       2.6
         313.0       1.5
         314.0       3.8
         315.0       1.9
         324.0       3.6
         325.0       1.1
         327.0       1.3
         328.0       1.3
         330.0       7.4
         331.0       1.7
         332.0       1.2
         342.0       7.2
         343.0       1.8
         344.0       1.2
         372.0       7.4
         373.0       1.9
         374.0       1.5
         384.0       4.8
         385.0       1.2
         402.0       8.6
         403.0       2.3
    

400 MHz in DMSO-d6


  • 1H NMR 399.65 MHz
    C23 H30 O6 0.037 g : 0.5 ml DMSO-d6
    21-acetoxy-11beta,17alpha-dihydroxy-1,4-pregnadiene-3,20-dione
    ChemicalStructure
        Assign.     Shift(ppm)
    A 7.325 B 6.164 C 5.918 D 5.41 E *1 5.068 F *1 4.72 G 4.71 J 4.291 K 2.54 to 2.48 L 2.295 M 2.097 N 2.02 P 1.893 Q 1.65 R 1.45 S 1.391 T 1.29 U 1.014 V 0.898 W 0.788 SIGNAL K OVERLAPPED BY SOLVENT PEAKS ASSIGNED BY H-H AND C-H COSY

         Hz     ppm     Int.
    

       2932.74   7.339    121
       2922.61   7.313    128
       2469.60   6.180     95
       2467.65   6.175     98
       2459.47   6.155     93
       2457.64   6.150    100
       2365.36   5.919    133
       2161.38   5.409    259
       2035.52   5.094    108
       2017.94   5.050    136
       1903.44   4.763    122
       1886.11   4.720    176
       1882.93   4.712    103
       1718.02   4.299     40
       1714.97   4.292     55
       1711.91   4.284     44
       1013.18   2.536     35
       1012.94   2.535     35
       1009.03   2.525     53
       1008.54   2.524     53
        996.46   2.494     68
        924.32   2.313     31
        921.39   2.306     35
        838.01   2.097   1000
        817.38   2.046     53
        813.72   2.037     37
        809.69   2.026     52
        809.33   2.026     52
        807.98   2.022     51
        803.83   2.012     35
        802.73   2.009     37
        802.25   2.008     37
        762.94   1.910     35
        752.69   1.884     42
        749.51   1.876     39
        668.21   1.672     68
        665.89   1.667     79
        654.91   1.639     91
        653.20   1.635     81
        652.83   1.634     81
        646.73   1.619     35
        577.03   1.444     34
        571.29   1.430     32
        555.91   1.391    629
        364.99   0.914     39
        363.16   0.909     35
        361.69   0.906     42
        353.88   0.886     39
        350.83   0.878     39
        314.94   0.789    500
    

in DMSO-d6



KBr disc



nujol mull