图谱信息 供应商 相关产品
网站主页CAS数据库列表 52-31-3更多图谱环己烯巴比妥(52-31-3)红外图谱(IR1)

环己烯巴比妥

产品名称 环己烯巴比妥

CAS号52-31-3

分子式C12H16N2O3

分子量236.27

展开



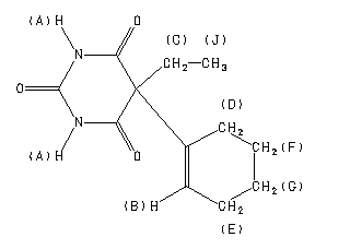
  •     Assign.     Shift(ppm)
    A 9.62 B 5.825 C 2.213 D 2.08 E 2.00 F 1.606 G 1.536 J 0.877
    Spectral Code: 1H NMR : 400 MHz in CDCl3



  •        ppm   Int.  Assign.
    171.52 1000 1 149.85 565 2 134.11 690 3 127.19 709 4 62.81 685 5 26.89 446 6 25.58 664 7 * 25.43 755 8 * 22.72 669 9 # 21.52 659 10 # 9.64 593 11
    Spectral Code: 13C NMR : in CDCl3


  • Spectral Code: IR : nujol mull

更多供应商