图谱信息 供应商 相关产品
网站主页CAS数据库列表 52-52-8更多图谱环亮氨酸(52-52-8)核磁图(13CNMR)

环亮氨酸

产品名称 环亮氨酸

CAS号52-52-8

分子式C6H11NO2

分子量129.16

展开


  • Mass

    MS-NW-9342          
    1-amino-1-cyclopentanecarboxylic acid
    C6H11NO2 H2O        (Mass of molecular ion:    129)
    

       Source Temperature: 240 °C
       Sample Temperature: 140 °C
       Direct, 75 eV
    

          15.0       1.9
          17.0       1.5
          18.0      12.0
          27.0       4.2
          28.0      12.3
          29.0       3.5
          30.0       9.6
          39.0       5.6
          40.0       1.5
          41.0      13.4
          42.0      12.5
          43.0       2.4
          44.0       1.6
          45.0       1.0
          53.0       1.2
          54.0      12.0
          55.0       9.5
          56.0       6.1
          57.0       3.1
          65.0       1.7
          67.0      19.2
          68.0       1.7
          82.0       3.5
          83.0       2.7
          84.0     100.0
          85.0       6.1
          87.0       3.3
         100.0       8.6
    

400 MHz in D2O


  • 1H NMR 399.65 MHz
    C6 H11 N O2 0.037 g : 0.5 ml D2O
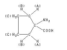
    1-amino-1-cyclopentanecarboxylic acid
    ChemicalStructure
        Assign.     Shift(ppm)
    A *1 2.214 B *1 1.87 C 1.84

         Hz     ppm     Int.
    

        892.70   2.234    364
        886.96   2.220    430
        885.38   2.216    398
        879.52   2.201    389
        878.05   2.198    339
        876.34   2.193    275
        758.91   1.899    571
        757.45   1.896    540
        754.39   1.888    831
        751.71   1.881    569
        748.17   1.873    821
        743.29   1.860   1000
        741.21   1.855    811
        736.57   1.844    531
        734.13   1.837    442
        731.32   1.830    407
        728.76   1.824    450
        723.75   1.811    403
    

in D2O



KBr disc



nujol mull