图谱信息 供应商 相关产品
网站主页CAS数据库列表 520-18-3更多图谱山奈酚(520-18-3)质谱(MS)

山奈酚

产品名称 山奈酚

CAS号520-18-3

分子式C15H10O6

分子量286.24

展开


  • Mass

    MS-IW-7978          
    3,4',5,7-tetrahydroxyflavone
    C15H10O6 (H2O)      (Mass of molecular ion:    286)
    

       Source Temperature: 200 °C
       Sample Temperature: 190 °C
       Direct, 75 eV
    

          18.0       5.5
          28.0       1.7
          39.0       1.4
          51.0       1.4
          65.0       2.4
          67.0       1.0
          69.0       3.7
          77.0       1.4
          78.0       1.3
          92.0       1.3
          93.0       3.2
          94.0       1.0
         105.0       1.6
         106.0       1.0
         108.0       1.1
         120.0       2.5
         121.0       9.8
         123.0       1.1
         129.0       3.8
         134.0       2.9
         136.0       2.5
         137.0       1.9
         143.0       6.1
         143.5       1.0
         153.0       4.5
         184.0       1.4
         212.0       1.4
         213.0       3.7
         229.0       5.6
         230.0       1.1
         241.0       1.2
         257.0       5.8
         258.0       7.3
         259.0       1.2
         269.0       1.4
         270.0       2.0
         285.0      31.1
         286.0     100.0
         287.0      17.1
         288.0       2.6
         302.0       1.4
         316.0       1.3
    

90 MHz in DMSO-d6


  • 1H NMR 89.56 MHz
    C15 H10 O6 0.037 g : 0.5 ml DMSO-d6
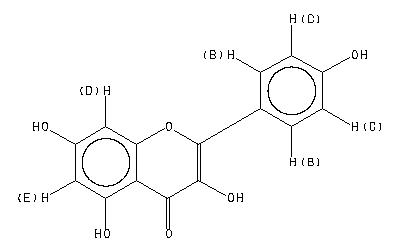
    3,4',5,7-tetrahydroxyflavone
    ChemicalStructure
        Assign.     Shift(ppm)
    A 12.5 B 8.062 C 6.952 D 6.459 E 6.217

         Hz     ppm     Int.
    

       1118.70  12.492    103
        729.82   8.149     96
        726.92   8.117    868
        724.87   8.094    270
        722.99   8.073     85
        722.56   8.068     81
        719.91   8.039    274
        717.94   8.017   1000
        715.55   7.990    128
        715.04   7.984    136
        629.59   7.030    115
        626.77   6.999    999
        624.80   6.977    292
        619.85   6.922    245
        617.80   6.899    827
        615.75   6.876    116
        614.98   6.867    115
        579.43   6.470    770
        577.38   6.447    931
        557.56   6.226    967
        555.51   6.203    833
    

KBr disc



nujol mull