(4S,5S)-(-)-4-甲氧基甲基-2-甲基-5-苯基-2-唑啉
产品名称 (4S,5S)-(-)-4-甲氧基甲基-2-甲基-5-苯基-2-唑啉
CAS号52075-14-6
分子式C12H15NO2
分子量205.25
-
MS-NW-5635 (4S,5S)-(-)-4-methoxymethyl-2-methyl-5-phenyl-2-oxazoline C12H15NO2 (Mass of molecular ion: 205)
Source Temperature: 280 °C Sample Temperature: 190 °C Reservoir, 75 eV
15.0 11.6 18.0 1.2 26.0 1.4 27.0 9.9 28.0 7.2 29.0 5.9 30.0 1.3 31.0 1.6 38.0 1.2 39.0 6.0 40.0 1.4 41.0 4.8 42.0 28.0 43.0 46.5 44.0 1.8 45.0 33.6 50.0 3.6 51.0 10.0 52.0 2.4 53.0 1.0 54.0 4.9 55.0 3.3 56.0 8.8 57.0 57.3 58.0 5.2 59.0 1.6 60.0 34.6 61.0 1.0 62.0 1.5 63.0 5.1 64.0 2.0 65.0 6.0 67.0 1.8 68.0 100.0 69.0 20.9 70.0 6.1 71.0 2.8 74.0 5.8 75.0 1.1 76.0 1.4 77.0 15.2 78.0 3.2 79.0 2.5 83.0 1.4 84.0 20.3 85.0 8.8 86.0 1.5 89.0 7.5 90.0 5.8 91.0 66.8 92.0 5.7 97.0 1.2 98.0 8.3 99.0 46.7 100.0 3.0 102.0 1.1 103.0 4.2 104.0 7.8 105.0 8.7 106.0 1.3 115.0 2.8 116.0 23.5 117.0 8.2 118.0 11.2 119.0 92.4 120.0 8.7 121.0 4.1 130.0 7.3 131.0 6.4 132.0 10.8 133.0 4.1 134.0 1.0 146.0 22.3 147.0 3.0 148.0 1.0 159.0 6.8 160.0 82.9 161.0 9.7 162.0 1.7 163.0 4.1 174.0 1.1 175.0 4.9 205.0 1.0
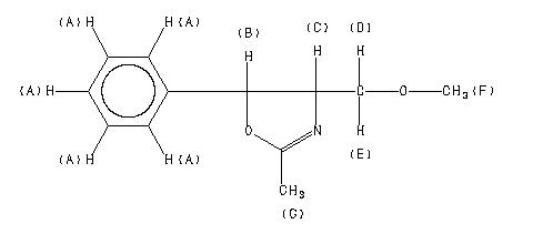
90 MHz in CDCl3
-
1H NMR 89.56 MHz C12 H15 N O2 0.04 ml : 0.5 ml CDCl3 (4S,5S)-(-)-4-methoxymethyl-2-methyl-5-phenyl-2-oxazoline 
Assign. Shift(ppm)
A 7.36 to 7.28 B 5.275 C 4.10 D *1 3.59 E *1 3.51 F 3.406 G 2.092 J(B,C) = 6.9 HZ. J(C,G) = 1.4 HZ.
Hz ppm Int.659.31 7.362 48 659.19 7.361 48 658.69 7.355 45 658.00 7.348 36 656.00 7.325 459 655.50 7.320 441 652.69 7.288 53 650.88 7.268 26 650.13 7.260 30 476.25 5.318 79 469.38 5.241 90 370.69 4.140 28 363.81 4.063 26 321.75 3.593 123 320.06 3.574 118 317.25 3.543 100 314.00 3.507 94 305.13 3.407 1000 188.13 2.101 426 186.75 2.086 423
更多供应商




