图谱信息 供应商 相关产品
网站主页CAS数据库列表 521-78-8更多图谱马来酸三甲丙咪嗪(521-78-8)核磁图(1HNMR)

马来酸三甲丙咪嗪

产品名称 马来酸三甲丙咪嗪

CAS号521-78-8

分子式C24H30N2O4

分子量410.51

展开


  • Mass

    MS-IW-3770          
    5-(3-dimethylamino-2-methylpropyl)-10,11-dihydro-5H-dibenz(b,f)azepine maleate
    C20H26N2 C4H4O4     (Mass of molecular ion:    294)
    

       Source Temperature: 180 °C
       Sample Temperature: 160 °C
       Direct, 75 eV
    

          18.0       3.2
          26.0       3.8
          27.0       2.6
          28.0       1.3
          29.0       1.1
          30.0       2.1
          39.0       1.3
          41.0       1.5
          42.0       4.3
          43.0       1.8
          44.0       3.7
          45.0       3.9
          51.0       1.1
          53.0       1.4
          54.0       4.0
          55.0       2.8
          57.0       1.6
          58.0      85.0
          59.0       3.9
          63.0       1.0
          65.0       2.0
          70.0       1.6
          71.0       3.0
          72.0       8.1
          77.0       2.4
          84.0      14.5
          85.0       2.6
          86.0       1.6
          89.0       2.5
          90.0       1.4
          91.0       5.5
          98.0       2.0
          99.0      23.3
         100.0       3.0
         106.0       1.6
         115.0       1.7
         116.0       1.6
         117.0       2.0
         118.0       1.7
         128.0       1.3
         130.0       4.9
         131.0       1.2
         143.0       1.9
         144.0       1.9
         152.0       1.8
         165.0       4.1
         166.0       1.9
         167.0       2.8
         177.0       1.0
         178.0       4.1
         179.0       4.7
         180.0       3.0
         190.0       1.0
         191.0       3.2
         192.0       7.3
         193.0      26.4
         194.0      18.9
         195.0      10.2
         196.0       1.4
         204.0       2.8
         205.0       1.4
         206.0       6.0
         207.0       2.6
         208.0      41.2
         209.0       9.7
         210.0       1.0
         218.0       2.3
         219.0       1.6
         220.0       7.3
         221.0       1.7
         232.0       1.3
         234.0      29.7
         235.0       8.1
         236.0       4.4
         248.0      26.4
         249.0     100.0
         250.0      19.9
         251.0       1.9
         294.0      28.2
         295.0       6.4
    

400 MHz in CDCl3


  • 1H NMR 399.65 MHz
    C20 H26 N2 0.040 g : 0.5 ml CDCl3
    5-(3-dimethylamino-2-methylpropyl)-10,11-dihydro-5H-dibenz(b,f)azepine maleate
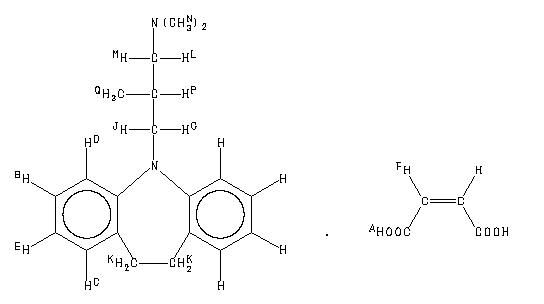
    ChemicalStructure
        Assign.     Shift(ppm)
    A 12. B 7.14 C 7.11 D 7.049 E 6.950 F 6.251 G *1 3.725 J *1 3.536 K 3.164 L *2 3.123 M *2 2.854 N 2.62 P 2.21 Q 1.137 ASSIGNED BY C-H COSY. J(G,J)=-13.2HZ J(G,P)=6.2HZ J(J,P)=8.6HZ J(L,M)=-12.9HZ J(L,P)=3.9HZ J(M,P)=9.2HZ

         Hz     ppm     Int.
    

       2863.63   7.166     58
       2861.79   7.161     72
       2855.38   7.145    124
       2854.65   7.143    135
       2853.92   7.142    135
       2848.24   7.127    122
       2846.77   7.124    268
       2845.49   7.120    153
       2839.26   7.105    195
       2837.80   7.101    151
       2821.31   7.060    183
       2820.21   7.057    200
       2813.25   7.040    134
       2812.16   7.037    129
       2785.05   6.969    128
       2783.76   6.966    122
       2777.72   6.951    188
       2776.62   6.948    173
       2770.39   6.933     94
       2769.11   6.929     88
       2498.39   6.252   1000
       1499.40   3.752     38
       1493.17   3.737     41
       1486.21   3.719     54
       1480.17   3.704     54
       1423.20   3.562     55
       1414.78   3.541     59
       1410.20   3.529     45
       1401.59   3.508     44
       1264.58   3.165    523
       1256.34   3.144     63
       1252.49   3.134     58
       1243.52   3.112     58
       1239.67   3.102     57
       1151.38   2.881     54
       1142.23   2.859     61
       1138.56   2.849     50
       1129.40   2.826     51
       1046.98   2.620     62
        457.92   1.146    358
        451.32   1.130    352
    

in CDCl3



KBr disc



nujol mull