图谱信息 供应商 相关产品
网站主页CAS数据库列表 52119-37-6更多图谱(E)-4-(DIMETHYLAMINO)-4'-METHOXYCHALCONE(52119-37-6)核磁图(13CNMR)

(E)-4-(DIMETHYLAMINO)-4'-METHOXYCHALCONE

产品名称 (E)-4-(DIMETHYLAMINO)-4'-METHOXYCHALCONE

CAS号52119-37-6

分子式C18H19NO2

分子量281.35

展开


  • Mass

    MS-NW-9748          
    trans-4-dimethylamino-4'-methoxychalcone
    C18H19NO2           (Mass of molecular ion:    281)
    

       Source Temperature: 180 °C
       Sample Temperature: 150 °C
       Direct, 75 eV
    

          77.0       4.1
          92.0       2.2
         102.0       1.2
         103.0       1.7
         105.0       1.0
         107.0       1.8
         119.0       1.3
         120.0       2.2
         121.0      20.1
         122.0       1.8
         126.0       1.1
         126.5       5.2
         127.0       1.1
         130.0       2.3
         131.0       2.1
         135.0       5.1
         144.0       2.7
         145.0       1.7
         146.0       7.0
         165.0       2.3
         166.0       1.6
         174.0      14.8
         175.0       1.8
         194.0       2.4
         195.0       2.1
         208.0       1.6
         209.0       2.4
         210.0       2.3
         221.0       1.5
         222.0       2.1
         223.0       1.9
         236.0       1.0
         237.0       7.2
         238.0      10.7
         239.0       1.9
         249.0       1.0
         250.0      11.5
         251.0       2.7
         252.0       4.8
         253.0       4.0
         264.0       3.4
         265.0       3.9
         266.0      20.6
         267.0       4.1
         280.0      26.7
         281.0     100.0
         282.0      19.8
         283.0       2.5
    

400 MHz in CDCl3

90 MHz in CDCl3


  • 1H NMR 399.65 MHz
    C18 H19 N O2 0.033 g : 0.5 ml CDCl3
    trans-4-dimethylamino-4'-methoxychalcone
    ChemicalStructure
        Assign.     Shift(ppm)
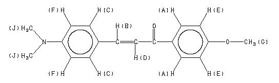
    A 8.024 B 7.783 C 7.536 D 7.351 E 6.960 F 6.678 G 3.862 J 3.014 J(B,D)=15.5HZ. 90MHZ. : HSP-05-091

         Hz     ppm     Int.
    

       3211.43   8.036    143
       3209.35   8.031     44
       3204.59   8.019     45
       3202.39   8.013    148
       3118.90   7.805     55
       3103.39   7.766     65
       3015.87   7.547    100
       3014.16   7.543     33
       3009.03   7.530     34
       3007.32   7.525    104
       2944.95   7.369    105
       2929.44   7.331     89
       2786.01   6.972    145
       2783.94   6.966     43
       2779.17   6.955     42
       2776.98   6.949    137
       2673.34   6.690    100
       2671.39   6.685     34
       2666.38   6.672     32
       2664.43   6.667     96
       1543.70   3.863    605
       1204.71   3.015   1000
    


  • 1H NMR 89.56 MHz
    C18 H19 N O2 0.033 g : 0.5 ml CDCl3
    trans-4-dimethylamino-4'-methoxychalcone
    ChemicalStructure
        Assign.     Shift(ppm)
    A 8.020 B 7.765 C 7.53 D 7.36 E 6.959 F 6.678 G 3.859 J 3.012 400MHZ. : HSP-41-802

         Hz     ppm     Int.
    

        723.00   8.073    108
        720.88   8.050     36
        716.13   7.997     42
        713.94   7.972    129
        705.94   7.883     35
        690.50   7.710     73
        679.13   7.583     78
        677.31   7.563     31
        672.13   7.505     35
        670.44   7.486     98
        664.13   7.416    109
        648.75   7.244     60
        627.31   7.005    127
        625.19   6.981     36
        620.44   6.928     36
        618.31   6.904    103
        602.00   6.722     97
        600.06   6.701     31
        595.06   6.645     30
        593.06   6.622     76
        345.75   3.861    539
        269.81   3.013   1000
    

in CDCl3



KBr disc



nujol mull