
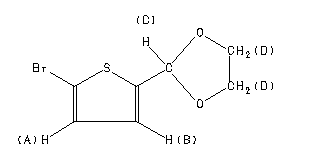
2-(5-溴噻吩-2-基)-1,3-二氧戊环
产品名称
2-(5-溴噻吩-2-基)-1,3-二氧戊环
CAS号52157-62-7
分子式C7H7BrO2S
分子量235.1
InChIInChI=1S/C7H7BrO2S/c8-6-2-1-5(11-6)7-9-3-4-10-7/h1-2,7H,3-4H2
InChIKeyXBQREIMFJKOHEL-UHFFFAOYSA-N
SmilesO1CCOC1C1SC(Br)=CC=1
展开
收起
-
Parameter ppm Hz
D(A) 6.74
D(B) 6.74
D(C) 5.92
J(A,B) 3.70
J(A,C) 0.0
J(B,C) 0.55
D(D) 3.85
GRONOWITZ,S. ET AL. ARK.KEMI. 21, 265 (1963)
Spectral Code: 1H NMR : parameter in cyclohexane
2-(5-溴噻吩-2-基)-1,3-二氧戊环(52157-62-7)核磁图(1HNMR) 相关产品图谱