图谱信息 供应商 相关产品
网站主页CAS数据库列表 523-42-2更多图谱花青苷(523-42-2)红外图谱(IR1)

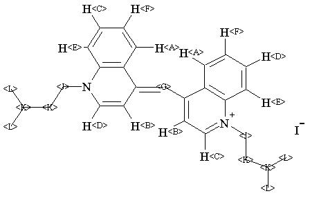
花青苷

产品名称 花青苷

CAS号523-42-2

分子式C29H35IN2

分子量538.51

展开


  • Mass

    MS-NW-9076          
    quinoline blue
    C29H35IN2           (Mass of molecular ion:    538)
    

       Source Temperature: 240 °C
       Sample Temperature: 220 °C
       Direct, 75 eV
    

          27.0       5.6
          28.0       1.5
          29.0       6.0
          39.0       3.4
          41.0       9.7
          42.0       2.4
          43.0      38.8
          44.0       1.3
          53.0       1.0
          55.0      10.1
          70.0       2.0
          71.0      26.2
          72.0       1.5
         101.0       1.1
         113.0       1.0
         115.0       1.0
         120.5       2.9
         127.0       2.8
         127.5       1.4
         128.0       4.4
         130.0       1.0
         134.5       1.5
         141.0       1.3
         154.0       1.0
         155.0       1.0
         166.0       1.1
         198.0       3.6
         213.0       1.5
         214.0       1.0
         240.0       3.7
         241.0       3.9
         242.0       2.0
         253.0       1.2
         254.0       5.0
         255.0       5.2
         256.0       2.6
         266.0       1.8
         267.0       5.6
         268.0      16.2
         269.0      41.5
         270.0      19.3
         271.0       3.3
         281.0       1.5
         282.0       1.3
         283.0      18.1
         284.0       4.6
         338.0       1.5
         339.0      28.8
         340.0     100.0
         341.0      26.5
         342.0       3.6
    

400 MHz in CDCl3


  • 1H NMR 399.65 MHz
    C29 H35 I N2 0.043 g : 0.5 ml CDCl3
    quinoline blue
    ChemicalStructure
        Assign.     Shift(ppm)
    A 8.360 B 8.181 C 7.79 D 7.78 E 7.626 F 7.577 G 6.989 J 4.378 K 1.83 to 1.750 L 1.022 ASSIGNED BY H-H AND C-H COSY.

         Hz     ppm     Int.
    

       3345.34   8.371    135
       3336.79   8.350    138
       3273.56   8.192    178
       3266.24   8.173    195
       3122.31   7.813     66
       3121.09   7.810     80
       3118.41   7.803     32
       3114.26   7.793    316
       3106.93   7.775    276
       3051.64   7.636    189
       3047.73   7.626     30
       3042.85   7.614    147
       3035.28   7.595    110
       3027.95   7.577    152
       3020.75   7.559     79
       3019.90   7.557     89
       2793.46   6.990    138
       1757.32   4.398    125
       1749.76   4.379    154
       1742.31   4.360    118
        717.53   1.796    177
        712.89   1.784    211
        712.52   1.783    211
        711.79   1.782    212
        705.81   1.767    152
        432.37   1.082     33
        425.29   1.065     46
        424.80   1.063     46
        424.19   1.062     45
        418.95   1.049     86
        411.50   1.030   1000
        405.27   1.015    944
        399.29   1.000     47
    

in CDCl3



KBr disc



4880 A,200 M,liquid